中文English
ISSN 1001-5256 (Print)
ISSN 2097-3497 (Online)
CN 22-1108/R

留言板

尊敬的读者、作者、审稿人, 关于本刊的投稿、审稿、编辑和出版的任何问题, 您可以本页添加留言。我们将尽快给您答复。谢谢您的支持!

姓名
邮箱
手机号码
标题
留言内容
验证码

第41卷 第4期(总294期) 2025年4月
“胰腺癌诊治进展” 重点号
执行主编:赵玉沛
中国医学科学院北京协和医院

显示方式:
述评
胰腺癌诊治的进展与思考
刘悦泽, 张太平, 赵玉沛
2025, 41(4): 601-604. DOI: 10.12449/JCH250401
摘要(1506) HTML (1049) PDF (541KB)(389)
摘要:
近年来,胰腺癌的规范化诊治已经在我国取得了长足的进步和发展。从最初的治疗手段匮乏,药物效果不佳,到如今手术、化疗、放疗、免疫与靶向治疗齐头并进,多学科共同决策的综合治疗模式,胰腺癌诊治逐步走向个体化、精细化与精准化。本文就胰腺癌诊治中的热点话题,结合最新的循证医学证据,探讨胰腺癌诊治的未来发展方向。
专家论坛
胰腺癌临床前肿瘤模型的建立与应用进展
杜昶玮, 刘悦泽, 曹喆, 张太平
2025, 41(4): 605-610. DOI: 10.12449/JCH250402
摘要(833) HTML (501) PDF (690KB)(106)
摘要:
本文阐述了用于胰腺癌临床前肿瘤研究的各类模型的特点及应用进展,分析并探讨了人源性组织异种移植、条件重编程、患者来源的类器官等模型的历史发展、研究现状和优缺点,并在此基础上梳理了从临床前模型实现临床转化的研究,指出未来可能的研究前景。
胰腺肿瘤神经生态学:多维视角下的现状、机制与展望
郑上游, 江宏辉, 胡崇辉, 李婷婷, 黄天浩, 何日华, 蒋勇, 陈汝福
2025, 41(4): 611-618. DOI: 10.12449/JCH250403
摘要(1496) HTML (542) PDF (1521KB)(136)
摘要:
胰腺癌具有显著的神经侵袭性与高致死率特征,其病理进程依赖于肿瘤与神经系统之间复杂的相互作用网络。本文基于“胰腺肿瘤神经生态学”概念,系统梳理了外周运动神经、感觉神经及中枢神经在肿瘤发生、疼痛调控及恶病质形成中的作用机制,强调了免疫细胞、施旺细胞与细胞外基质在神经浸润微环境中的协同调控作用。同时,进一步阐释了神经轴与肿瘤之间的代谢相互作用、趋化行为及其对化疗耐药的促进效应,揭示了神经可塑性与肿瘤适应性之间的动态关系。在临床层面,本文总结了神经浸润在胰腺癌患者预后评估、术前评估及手术策略选择中的关键价值。此外,本文归纳了胰腺癌神经浸润相关生物标志物与潜在靶点的基础研究进展,并指出当前模型与转化研究的局限性。未来,系统解析神经-肿瘤-免疫网络并靶向其关键节点,有望为胰腺癌的精准干预、耐药逆转及症状缓解提供多维策略与新突破。
mRNA疫苗:胰腺癌个性化治疗新曙光
王新景, 王蔚, 沈柏用
2025, 41(4): 619-624. DOI: 10.12449/JCH250404
摘要(1660) HTML (910) PDF (1097KB)(138)
摘要:
胰腺癌作为恶性程度最高的实体肿瘤之一,其5年生存率长期维持在约13%,且80%的患者在确诊时已失去手术机会。此外,传统放化疗及靶向治疗因肿瘤异质性高、免疫抑制微环境复杂而效果有限。近年来,mRNA疫苗凭借其独特的技术优势,成为肿瘤免疫治疗的新焦点。基于非整合性mRNA模板,mRNA疫苗可精准编码肿瘤新抗原,在宿主体内高效表达并诱导多维度免疫应答。针对胰腺癌,研究热点集中在肿瘤相关抗原疫苗及肿瘤特异性抗原疫苗的研发与优化。当前研究主要关注基于测序的新抗原表位优化、靶向递送技术和人工智能驱动的免疫应答预测模型,以期推动mRNA疫苗在胰腺癌精准治疗中的应用。未来研究需进一步突破肿瘤微环境中关键免疫抑制分子的靶向阻断,精准识别肿瘤特异性抗原表位,开发高效新型疫苗,为胰腺癌患者带来新的治疗希望。
指南与规范
《2025年欧洲肿瘤内科学会临床实践指南:胆道癌的管理(中期更新)》摘译
覃德龙, 唐玥, 李宗龙, 陈家璐, 汤朝晖, 全志伟
2025, 41(4): 625-627. DOI: 10.12449/JCH250405
摘要(1585) HTML (700) PDF (734KB)(252)
摘要:
近期,欧洲肿瘤内科学会(ESMO)发布了《ESMO临床实践指南:胆道癌的管理(中期更新)》,作为其于2023年发布的《胆道癌:诊断、治疗和随访的ESMO临床实践指南》的补充更新。该中期更新主要针对原版指南发布以来,在分子诊断、临床管理等关键领域的最新循证医学证据和推荐意见进行修订,而非对指南整体内容的全面更新。本文对此次中期更新中的新增推荐意见进行了归纳与摘译。
病毒性肝炎
聚乙二醇干扰素-α-2b对HBeAg阴性慢性HBV感染者HBV特异性CD8+T淋巴细胞杀伤功能的影响
秦蕾, 李广鹏, 申培君, 张兰芳, 杨晓飞, 彭梅娟, 张野
2025, 41(4): 628-636. DOI: 10.12449/JCH250406
摘要(819) HTML (283) PDF (990KB)(85)
摘要:
  目的  观察经聚乙二醇干扰素-α-2b(PEG-IFN-α-2b)治疗后,HBeAg阴性慢性HBV感染者HBV特异性CD8+T淋巴细胞活性的变化。  方法  纳入2020年4月—2022年6月于新乡医学院第一附属医院、空军军医大学唐都医院就诊的HBeAg阴性慢性HBV感染者53例,予以PEG-IFN-α-2b(180 μg/周,皮下注射)抗病毒治疗,研究终点为HBsAg阴转(疗程<48周)或48周(疗程≥48周),分别选取基线和研究终点外周血单个核细胞,检测外周血T淋巴细胞计数,酶联免疫斑点试验检测分泌穿孔素、颗粒酶B、IFN-γ的HBV特异性CD8+T淋巴细胞频数。选择HLA-A*02限制性患者17例,纯化CD8+T淋巴细胞,建立HBV特异性CD8+T淋巴细胞与HepG2.2.15细胞直接接触和间接接触共培养系统,通过检测上清中乳酸脱氢酶水平计算HepG2.2.15细胞死亡率,检测上清中HBV DNA水平、毒性分子和细胞因子分泌,流式细胞术检测凋亡配体表达,评估HBV特异性CD8+T淋巴细胞的杀伤功能。符合正态分布的计量资料2组间比较采用成组t检验或配对t检验,不符合正态分布的计量资料2组间比较采用Mann-Whitney U检验或Wilcoxon秩和检验。  结果  研究终点时,HBsAg阴转率为30.19%(16/53)。外周血T淋巴细胞计数(CD3+、CD4+、CD8+T淋巴细胞)在基线和研究终点时的差异均无统计学意义(P值均>0.05)。研究终点时,患者分泌穿孔素、颗粒酶B、IFN-γ的HBV特异性CD8+T淋巴细胞频数较基线显著升高(U=177.50,t=11.90,U=186.50,P值均<0.001),发生HBsAg阴转的患者分泌穿孔素、颗粒酶B、IFN-γ的HBV特异性CD8+T淋巴细胞频数亦显著高于未发生HBsAg阴转的患者(U=120.50,t=2.73,U=121.50,P值均<0.01)。在直接接触和间接接触共培养系统中,研究终点时HBV特异性CD8+T淋巴细胞均可诱导HepG2.2.15细胞上清中HBV DNA显著下降(P值均<0.001),IFN-γ和TNF-α分泌水平显著升高(P值均<0.05),但仅在直接接触共培养系统中HBV特异性CD8+T淋巴细胞诱导HepG2.2.15细胞死亡比例升高(13.62%± 3.27% vs 11.39%±2.40%,t=2.27,P=0.030),穿孔素和颗粒酶B分泌水平亦升高(t=72.50,U=52.50,P值均<0.05)。在直接接触和间接接触共培养系统中,发生HBsAg阴转的患者HBV特异性CD8+T淋巴细胞较未发生HBsAg阴转的患者诱导HBV DNA下降水平均更显著(P值均<0.05),IFN-γ和TNF-α分泌水平均升高(P值均<0.05)。  结论  PEG-IFN-α-2b治疗HBeAg阴性慢性HBV感染者可获得较高的HBsAg阴转率,HBV特异性CD8+T淋巴细胞活性显著增强,且与HBsAg阴转密切相关。
慢性HBV感染自然史不同阶段的HBV RNA水平特征及其与HBV DNA、HBsAg的相关性分析
高涵, 吴娟丽, 张域爽, 张毅恒, 王磊, 李涛, 张立新
2025, 41(4): 637-642. DOI: 10.12449/JCH250407
摘要(967) HTML (280) PDF (1368KB)(131)
摘要:
  目的  观察未经抗病毒治疗的慢性HBV感染自然史不同阶段的血清HBV RNA特点及其与血清HBV DNA、HBsAg的相关性。  方法  选取2023年1月—2024年6月于山东大学第二医院感染性疾病/肝病科就诊且未经治疗的慢性HBV感染者306例,根据自然史不同阶段分为6组:HBeAg阳性慢性HBV感染者29例、HBeAg阳性慢性乙型肝炎(CHB)患者107例、HBeAg阴性慢性HBV感染者18例、HBeAg阴性CHB患者60例、HBeAg阳性或阴性慢性HBV感染不确定期感染者分别7例和85例。采用RNA实时荧光恒温扩增检测技术进行血清高敏HBV RNA定量检测。计量资料多组间比较采用Kruskal-Wallis H检验,两组间比较采用Mann-Whitney U检验。采用Spearman法分析HBV RNA与HBV DNA、HBsAg的相关性。  结果  血清HBV RNA水平在HBeAg阳性慢性HBV感染者、HBeAg阳性CHB患者、HBeAg阴性CHB患者及HBeAg阴性慢性HBV感染者中递减,依次为7.5(7.4~7.9)、7.4(6.4~7.9)、4.5(3.0~5.7)、1.0(1.0~2.0)log10 copies/mL;HBeAg阳性慢性HBV感染不确定期患者的血清HBV RNA水平为3.9(3.7~5.7)log10 copies/mL;HBeAg阴性慢性HBV感染不确定期患者的血清HBV RNA水平为2.0(1.0~3.0)log10 copies/mL,6组间血清HBV RNA水平有统计学差异(H=830.770,P<0.001)。除与HBeAg阳性CHB组无统计学差异外,HBeAg阳性慢性HBV感染组HBV RNA水平与其他各组的差异均有统计学意义(P值均<0.001)。306例HBV感染者中,HBV RNA与HBV DNA呈强相关(r=0.92,P<0.001),与HBsAg中度相关(r=0.67,P<0.001)。在HBeAg阳性者中,血清HBV RNA与HBsAg的相关性(r=0.61,P<0.001)强于HBeAg阴性者(r=0.31,P<0.001)。在HBeAg阳性慢性HBV感染者中,ALT>30 U/L的男性及ALT>19 U/L的女性感染者血清HBV RNA的水平显著低于ALT≤30 U/L的男性及ALT≤19 U/L的女性感染者(P<0.001),但与HBeAg阳性CHB患者HBV RNA水平更为相近,差异无统计学意义(P>0.05)。  结论  在未经抗病毒治疗的慢性HBV感染者中,血清HBV RNA水平在自然史的不同阶段存在差异,其与HBV DNA的相关性最强,而与HBsAg的相关性较弱。在HBeAg阳性慢性HBV感染者中,ALT>30 U/L的男性及ALT>19 U/L的女性感染者血清HBV RNA水平处于HBeAg阳性慢性HBV感染和HBeAg阳性CHB的过渡阶段。
脂肪性肝病
北京市体检人群代谢相关脂肪性肝病的患病率、影响因素和纤维化风险分层分析
郭海清, 李明亮, 刘峰, 张晶
2025, 41(4): 643-649. DOI: 10.12449/JCH250408
摘要(961) HTML (288) PDF (876KB)(135)
摘要:
  目的  本研究旨在对体检人群进行代谢相关脂肪性肝病(MAFLD)筛查,通过无创血清评分系统识别进展期纤维化低、中、高危患者,对其进行分层管理。  方法  纳入2017年12月—2019年12月北京市体检中心的体检人群共3 125例进行横断面研究,分为MAFLD组(n=1 068)和非MAFLD组(n=2 057),按照BMI水平,进一步将MAFLD组分为瘦型MAFLD组(BMI<24 kg/m2n=125)和非瘦型MAFLD组(BMI≥24 kg/m2n=943),对比各组之间的人口学、既往史、实验室检查和肝脏超声等指标。计算MAFLD组患者肝纤维化4项(FIB-4)指数、非酒精性脂肪肝纤维化评分(NFS)、AST/PLT指数(APRI)及BARD评分,评估患者进展期肝纤维化风险。正态分布的计量资料两组间比较采用成组t检验,非正态分布的计量资料两组间比较采用Mann-Whitney U秩和检验,计数资料的比较采用χ2检验或Fisher精确检验。采用Logistic回归分析研究各观察指标对MAFLD的影响。  结果  MAFLD组年龄(Z=-9.758)、男性占比(χ2=137.555)、体质量(Z=-27.987)、BMI(Z=-32.714)、腰围(Z=-31.805)、臀围(Z=-26.342)、腰臀比(Z=-28.554)、ALT(Z=-25.820)、AST(Z=-16.894)、GGT(Z=-25.069)、ALP(Z=-12.533)、TG(Z=-27.559)、TC(Z=-7.833)、LDL-C(Z=-8.222)、UA(Z=-20.024),以及合并代谢综合征(MetS)(χ2=578.220)、高血压(χ2=241.694)、2型糖尿病(χ2=796.484)和血脂紊乱(χ2=369.843)患病率均显著高于非MAFLD组(P值均<0.05),HDL-C显著降低(Z=23.153, P<0.001)。多因素Logistic回归分析显示,男性(OR=1.45, 95%CI: 1.203~1.737)、ALT(OR=1.05, 95%CI: 1.046~1.062)、LDL-C(OR=1.23, 95%CI: 1.102~1.373)及合并MetS(OR=5.97, 95%CI: 4.876~7.316)是MAFLD的独立影响因素。瘦型MAFLD组患者年龄(Z=3.736)、HDL-C(Z=2.679)显著高于非瘦型MAFLD组(P值均<0.05),而男性占比(χ2=28.970)、体质量(Z=-14.230)、BMI(Z=-18.188)、腰围(Z=-13.451)、臀围(Z=-13.317)、ALT(Z=-4.519)、AST(Z=-2.258)、GGT(Z=-4.592)、UA(Z=-4.415)、中重度脂肪肝占比、合并MetS(χ2=42.564)及高血压(χ2=12.057)、2型糖尿病(χ2=3.174)患病率均显著降低(P值均<0.05)。MAFLD患者中FIB-4>2.67为10例(0.9%)、NFS>0.676为4例(0.4%)、APRI>1为8例(0.7%)、BARD≥2为551例(51.6%)。  结论  北京市体检人群中MAFLD患病率较高,但存在进展期纤维化高风险的患者人数较少,这部分患者需要转诊至肝病专科医院就诊。
基于病证结合非酒精性脂肪性肝病湿浊内停证证候评价量表的初步构建
周铖, 杨金秋, 刘通, 李善政, 刘彤, 赵文霞
2025, 41(4): 650-660. DOI: 10.12449/JCH250409
摘要(785) HTML (355) PDF (1030KB)(58)
摘要:
  目的  研制非酒精性脂肪性肝病(NAFLD)湿浊内停证证候评价量表,形成病证结合、具有中医特色的NAFLD评价工具。  方法  通过参照国际量表的研制指南,建立NAFLD湿浊内停证评价条目池。对2023年6月—2023年8月在河南中医药大学第一附属医院脾胃肝胆病科确诊为NAFLD,且辨证为湿浊内停证的门诊及住院患者进行临床调查,基于经典测量理论以及项目反应理论对条目进行筛选。编制专家问卷,依据德尔菲法进行专家讨论,筛选NAFLD湿浊内停证证候评价条目。最后,对量表进行科学赋分。  结果  初步构建条目池,共16条一级条目,22条二级条目,分为疾病和证型2个维度。临床预调查法建议保留9条一级条目,14条二级条目,德尔菲专家问卷法建议保留11条一级条目,15条二级条目,其中舌象、脉象不用于评价证候严重程度。经过层次分析及赋分,NAFLD湿浊内停证证候评价量表总分为123分,9个重要条目,包括胁肋不适、脘腹胀满、形体肥胖、头身困重、大便溏泄、食少纳呆、咳吐痰涎、恶心欲呕、嗜睡。  结论  初步编制出NAFLD湿浊内停证证候评价量表,填补该研究领域的空白,也为进一步的临床应用提供依据。
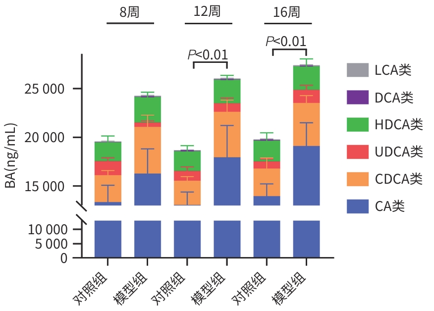
高脂高糖高胆固醇饮食联合四氯化碳诱导的代谢相关脂肪性肝炎小鼠模型肝脏胆汁酸谱的变化
汪静静, 彭景华, 刘毓, 徐飞鹏, 刘伟, 杨海琳, 刘平
2025, 41(4): 661-669. DOI: 10.12449/JCH250410
摘要(1399) HTML (473) PDF (4013KB)(73)
摘要:
  目的  比较高脂高糖高胆固醇联合腹腔注射10%四氯化碳(CCl4)诱导的代谢相关脂肪性肝炎(MASH)小鼠模型的肝脏胆汁酸谱与临床MASH胆汁酸谱的相似性,探究该模型用于药物干预MASH胆汁酸谱的可行性。  方法  30只C57BL/6J雄性小鼠随机分为对照组和模型组,每组各15只。对照组:正常饲料饮食,正常饮水,每周注射橄榄油;模型组:高脂高糖高胆固醇饮食,高糖溶液饮水,每周注射CCl4+橄榄油。第8、12、16周末从每组中各取5只小鼠处理、取材。评估小鼠行为学、称取体质量、肝湿重;通过肝组织HE染色、SAF评分、油红O染色及染色面积半定量分析、血清ALT与AST水平及肝脏TG检测,评价肝脏病变和脂质沉积;通过肝组织天狼星红染色,评价肝脏纤维化;采用超高效液相色谱-串联质谱靶向代谢组学法检测肝脏胆汁酸谱,包括胆酸(CA)、甘氨胆酸(GCA)、鹅去氧胆酸(CDCA)、甘氨鹅去氧胆酸(GCDCA)、熊去氧胆酸(UDCA)、牛磺熊去氧胆酸(TUDCA)、猪去氧胆酸(HDCA)和甘氨去氧胆酸(GDCA)。符合正态分布的计量资料两组间比较采用成组t检验;不符合正态分布计量资料组间比较使用Wilcox秩和检验。  结果  与同期对照组比较,第8、12、16周模型组小鼠毛发杂乱、无光泽,活动减弱,反应较迟缓;肝脏湿重均显著增加(P值均<0.05);血清ALT水平及肝脏TG水平显著升高(P值均<0.05),SAF评分显著升高(P值均<0.05)。肝组织中差异胆汁酸:第8周时,模型组中CA、CDCA显著高于对照组,UDCA、TUDCA、HDCA及GDCA低于对照组(P值均<0.05);第12周时,模型组CA、GCA、CDCA、GCDCA均显著高于对照组,UDCA、HDCA低于对照组(P值均<0.05);第16周时,模型组CA、GCA、CDCA、GCDCA、TUDCA均显著高于对照组,UDCA、HDCA、GDCA均低于对照组(P值均<0.05)。肝组织胆汁酸池中差异胆汁酸占比:第8周时,肝组织胆汁酸池差异胆汁酸中模型组CA、CDCA显著高于对照组,UDCA、TUDCA、GDCA、HDCA显著低于对照组(P值均<0.05);第12、16周时,模型组GCA、GCDCA显著高于对照组,UDCA、GDCA、HDCA显著低于对照组(P值均<0.05)。  结论  高脂高糖高胆固醇饮食联合CCl4诱导的MASH小鼠模型肝脏胆汁酸谱发生显著变化,与临床MASH胆汁酸变化具有较好的相似性,提示该模型可用于探究药物对MASH胆汁酸谱的干预作用。
肝纤维化及肝硬化
FibroScan、GPR评分、S指数、IL-6及TNF-α对HBeAg阳性慢性乙型肝炎肝纤维化的诊断价值
张映媛, 许丹青, 木唤, 牟春燕, 常丽仙, 王远珍, 魏红艳, 刘立, 李卫昆, 刘春云
2025, 41(4): 670-676. DOI: 10.12449/JCH250411
摘要(876) HTML (434) PDF (1195KB)(86)
摘要:
  目的  本研究通过分析无创影像学检测(FibroScan)、两种血清学模型(GPR评分、S指数)和两种炎性因子(IL-6、TNF-α)预测HBeAg阳性慢性乙型肝炎(CHB)患者肝纤维化的价值,以及对肝活检病理分期一致性评估,为CHB的早期干预提供预警。  方法  回顾性选取2019年1月—2023年12月在昆明市第三人民医院行肝穿刺活检的131例HBeAg阳性CHB患者为研究对象。收集患者肝活检结果,肝活检前完善相关检查:TBil、ALT、PLT、GGT、Alb、IL-6、TNF-α及肝硬度检测(LSM)、腹部超声。符合正态分布的计量资料多组间比较采用方差分析;非正态分布的计量资料多组间比较采用Kruskal-Wallis H检验。计数资料组间比较采用χ2检验。采用Kappa检验分析LSM无创组织学分期与肝活检病理分期的一致性;单一变量与FibroScan诊断肝纤维化分期的相关性采用Spearman分析。采用Logistic回归分析构建联合预测因子。采用受试者操作特征曲线(ROC曲线)分析单项指标以及联合预测模型对肝纤维化的诊断价值,采用Delong检验比较各ROC曲线下面积间的差异。  结果  在肝脏病理活检炎症程度的一致性检查中Kappa值为0.807(P<0.001),肝脏病理活检肝纤维化程度的一致性检查中Kappa值为0.827(P<0.001),表明FibroScan无创组织学分期与肝活检病理在炎症分期和肝纤维化分期中均有良好一致性。年龄与LSM、GPR评分、S指数、IL-6、TNF-α均呈正相关(P值均<0.05)。GPR评分、S指数、IL-6、TNF-α与LSM均呈正相关(P值均<0.05)。GPR评分、S指数、IL-6、TNF-α均为诊断显著期肝纤维化(≥S2)和进展期肝纤维化(≥S3)的独立危险因素(P值均<0.05)。单独预测显著期肝纤维化(≥S2)的诊断价值从高到低依次为GPR评分、S指数、IL-6和TNF-α,单独预测进展期肝纤维化(≥S3)的诊断价值从高到低依次为S指数、GPR评分、TNF-α和IL-6。而联合模型的预测价值高于单项指标的预测价值(P值均<0.05)。  结论  FibroScan的无创组织学分期与肝活检病理分期的一致性良好。GPR评分、S指数、IL-6、TNF-α是评价CHB不同程度纤维化的独立危险因素,上述指标所建立的联合预测模型能更好地诊断肝纤维化。
多元判别分析评分与FIB-4诊断慢性HBV感染者肝纤维化程度的准确性比较
刘宏宇, 李小婷, 江建宁, 金超, 蔡彩莲, 王可杉, 零芳蓬, 范冰凌, 苏明华
2025, 41(4): 677-683. DOI: 10.12449/JCH250412
摘要(903) HTML (277) PDF (879KB)(55)
摘要:
  目的  比较多元判别分析评分(MDA)和FIB-4对HBV感染者肝纤维化程度的诊断准确性,探讨MDA作为诊断疾病进展指标的可能性。  方法  纳入2010年4月—2024年4月在广西医科大学第一附属医院行肝活检的HBV感染者263例,收集患者临床资料。根据病理结果,分为非显著纤维化组(F<2,n=126)和显著纤维化组(F≥2,n=137),分析MDA、FIB-4与肝纤维化程度的相关性,比较两者评估显著性肝纤维化的准确性;62例患者完成随访,根据末次随访时是否发展为肝硬化分为进展组(n=21)与未进展组(n=41),分析并比较MDA、FIB-4诊断疾病进展的效能。符合正态分布的计量资料两组间比较采用成组t检验;非正态分布的计量资料两组间比较采用Mann-Whitney U检验,多组间比较采用Kruskal-Wallis H检验,进一步两两比较采用Bonferroni法。计数资料的组间比较采用χ²检验。采用Spearman相关法进行相关性分析。采用Wilcoxon符号秩和检验对基线与随访终点的资料进行配对分析;二元Logistic回归分析患者进展为肝硬化的影响因素。利用受试者操作特征曲线(ROC曲线)分析指标的诊断效能,ROC曲线下面积(AUC)的比较采用Z检验,采用配对χ²检验比较两指标的灵敏度、特异度和准确率。  结果  FIB-4、MDA与肝纤维化程度的相关系数分别为0.378、-0.325(P值均<0.001)。FIB-4诊断显著性肝纤维化的AUC、灵敏度、特异度、阳性预测值、阴性预测值及准确率分别为0.688、64.96%、68.87%、67.42%、63.36%、65.40%,最佳截断值为1.01;MDA诊断显著性肝纤维化AUC、灵敏度、特异度、阳性预测值、阴性预测值及准确率分别为0.653、52.55%、78.57%,72.73%、60.37%、65.02%,最佳截断值为0.29;MDA的灵敏度低于FIB-4(P=0.004),但特异度较高(P=0.001)。基线时,进展组患者年龄较未进展组大(t=2.611,P=0.011)。在进展组,与基线时相比,随访终点时FIB-4升高、MDA降低(P值均<0.001);未进展组无明显变化(P值均>0.05)。多因素Logistic回归分析结果显示,AST(OR=0.940,95%CI:0.885~0.998,P<0.05)、MDA(OR=0.445,95%CI:0.279~0.710,P<0.001)是疾病进展的独立影响因素;对于诊断疾病进展为肝硬化,MDA的AUC为0.893,最佳截断值为-0.01。  结论  MDA诊断显著性肝纤维化的准确性与FIB-4相当;MDA<-0.01对于诊断肝纤维化发展为肝硬化有较高的准确性,有助于减少临床上肝活检的需要。
肝脏肿瘤
血清醛酮还原酶家族1成员B10(AKR1B10)对肝细胞癌的诊断价值
杜云玲, 时长江, 高方媛, 张梦娜, 王玲玲, 张竹青, 明颖, 谢守军
2025, 41(4): 684-689. DOI: 10.12449/JCH250413
摘要(888) HTML (243) PDF (1788KB)(62)
摘要:
  目的  通过分析血清醛酮还原酶家族1成员B10(AKR1B10)在肝细胞癌(HCC)患者中的表达情况,为HCC的临床诊断提供新的有价值的血清学标志物。  方法  选取2020年5月—2024年5月承德医学院附属医院就诊的102例HCC患者、119例肝脏良性疾病患者、132例其他恶性肿瘤患者和148例健康体检者为研究对象。通过酶联免疫吸附法和化学发光法分别检测血清AKR1B10和AFP水平。非正态分布的计量资料两组间比较采用Mann-Whitney U检验,Kruskal-Wallis H检验用于多组间的比较和进一步两两比较,计数资料组间比较采用χ2检验,利用受试者操作特征曲线(ROC曲线)下面积(AUC)评估检验效能。  结果  四组间AKR1B10表达差异有统计学意义[HCC组:3 053.79(1 475.67~4 605.86) pg/mL,肝脏良性疾病组:1 324.42(659.68~2 023.88) pg/mL,其他恶性肿瘤组:660.68(377.56~2 087.77) pg/mL,健康组:318.30(82.73~478.82) pg/mL,H=240.86, P<0.001)。进一步两两比较,HCC组明显高于肝脏良性疾病组、其他恶性肿瘤组和健康组(P值均<0.001)。HCC组与其他三组的ROC曲线结果显示,诊断HCC的最佳血清AKR1B10浓度界值为1 584.97 pg/mL,AUC为0.86,95%CI:0.82~0.90,敏感度为74.3%,特异度为85.2%。相较于单一指标,AKR1B10与AFP联合应用,可以提高HCC诊断的敏感度(81.8%)和特异度(91.4%)。AKR1B10诊断早中期HCC患者的AUC为0.84,95%CI:0.78~0.90,敏感度为76.2%,特异度为81.2%。AKR1B10诊断AFP阴性HCC患者的AUC为0.85,95%CI:0.77~0.92,敏感度为81.6%,特异度为79.9%。  结论  AKR1B10是一种有潜力的诊断HCC的新型血清学标志物,与AFP联合使用,可能提高HCC(尤其是早中期HCC和AFP阴性HCC)患者的检出率。
同源盒基因A6(HOXA6)调控肝癌HepG2细胞增殖、侵袭、转移和凋亡的作用机制
刘玉婷, 麦静愔, 侯天禄, 成扬
2025, 41(4): 690-697. DOI: 10.12449/JCH250414
摘要(683) HTML (251) PDF (8150KB)(54)
摘要:
  目的  研究同源盒基因A6(HOXA6)对肝癌HepG2细胞增殖、侵袭、转移和凋亡的影响,以及与PI3K/AKT信号通路的关系。  方法  培养肝癌HepG2细胞,构建HOXA6过表达质粒和干扰siRNA并转染细胞,随机分成4组:空白质粒组、HOXA6过表达组、siRNA阴性对照组和siRNA HOXA6干扰组。采用CCK-8法检测细胞增殖,Transwell法检测细胞侵袭,划痕愈合实验检测细胞迁移(相关蛋白TIMP3、MMP9和MMP3),流式细胞仪检测HepG2肝癌细胞凋亡(相关蛋白BAX和BCL2),BCA法测定蛋白质浓度,Western Blot检测蛋白表达水平。计量资料多组间比较采用单因素方差分析,进一步两两比较采用SNK-q检验。  结果  与空白质粒组比,HOXA6过表达显著促进了肝癌HepG2细胞的增殖、侵袭和迁移(P值均<0.001);TIMP3蛋白表达水平显著下降(P<0.001),而MMP9和MMP3表达水平均显著升高(P值均<0.001)。与siRNA阴性对照组比,干扰HOXA6表达显著抑制了肝癌HepG2细胞的增殖、侵袭和迁移(P值均<0.001);TIMP3蛋白表达水平显著升高(P<0.001),MMP9和MMP3表达均显著下降(P值均<0.001)。流式细胞仪检测结果显示,与空白质粒组比,HOXA6过表达抑制了肝癌HepG2细胞的凋亡(P<0.001);凋亡相关蛋白BAX表达下降而BCL2表达升高(P值均<0.001)。与siRNA阴性对照组相比,干扰HOXA6表达则促进了肝癌HepG2细胞的凋亡(P<0.001);BAX表达升高而BCL2表达下降(P值均<0.001)。HOXA6过表达组p-AKT/AKT和p-PI3K/PI3K均显著高于空白质粒组(P值均<0.001),siRNA HOXA6干扰组p-AKT/AKT和p-PI3K/PI3K均显著低于siRNA阴性对照组(P值均<0.001)。  结论  HOXA6通过磷酸化激活PI3K/AKT信号通路促进HepG2肝癌细胞增殖、侵袭和转移,抑制肝癌细胞凋亡。
其他肝病
第三腰椎骨骼肌质量指数对慢加急性肝衰竭患者预后的预测价值
韩冶文, 李京, 赵凝慧, 姚佳, 王娟
2025, 41(4): 698-702. DOI: 10.12449/JCH250415
摘要(613) HTML (221) PDF (1075KB)(48)
摘要:
  目的  探讨第三腰椎骨骼肌质量指数(L3-SMI)对慢加急性肝衰竭(ACLF)患者长期预后的预测价值,为ACLF患者的预后评分提供实用的工具。  方法  回顾性纳入2017年12月—2021年12月在山西白求恩医院接受腹部CT检查并确诊为ACLF的126例患者,收集患者临床、生化指标以及计算终末期肝病模型(MELD)评分等指标,计算L3-SMI。符合正态分布的计量资料两组间比较采用成组t检验;不符合正态分布的计量资料两组间比较采用Mann-Whitney U检验。计数资料两组间比较采用χ2检验。应用受试者操作特征曲线(ROC曲线)评估L3-SMI和其他变量如MELD评分和Child-Pugh评分的诊断价值,ROC曲线下面积(AUC)的比较使用Delong检验。  结果  126例ACLF患者中有44例(35%)在2年内死亡,82例(65%)存活。死亡组患者年龄、腹水发生率、国际标准化比值、MELD评分、Child-Pugh评分均显著高于存活组(P值均<0.05),L3-SMI显著低于存活组[38.40(35.95~46.29) cm²/m² vs 44.19(40.20~48.58) cm²/m²,Z=-2.855, P=0.004]。L3-SMI预测ACLF患者2年病死率的AUC为0.720,敏感度为63.6%,特异度为80.5%;L3-SMI+MELD评分+Child-Pugh评分联合预测的AUC优于MELD评分+Child-Pugh评分二者联合预测的AUC(0.809 vs 0.757,Z=2.015, P<0.05)。  结论  L3-SMI对ACLF患者的预后有一定的预测作用,且L3-SMI+MELD评分+Child-Pugh评分联合预测ACLF患者预后的价值更高,将L3-SMI或肌肉减少症包括在ACLF患者常规预后的评分中,可能会提高预测疾病进展的能力。
胆道疾病
人类表皮生长因子受体-2、血管内皮生长因子-A和细胞程序性死亡-配体1在胆囊癌中的表达及其临床意义
杨阳, 张文华, 王万祥
2025, 41(4): 703-712. DOI: 10.12449/JCH250416
摘要(756) HTML (217) PDF (2214KB)(36)
摘要:
  目的  分析人类表皮生长因子受体-2(HER-2)、血管内皮生长因子-A(VEGF-A)和细胞程序性死亡-配体1(PD-L1)在胆囊癌中的表达情况,探究3种标志物对于患者预后的临床意义,为后续的研究提供理论支持   方法  收集2017年12月—2019年9月于内蒙古医科大学附属医院行胆囊癌根治术,且术后病理证实为胆囊癌的55例患者术后标本及临床资料。利用免疫组化染色法检测患者癌组织及癌旁组织中HER-2、VEGF-A、PD-L1的表达情况,分析3种标志物表达情况与患者临床特征的关系,以及对患者预后的影响。符合正态分布的计量资料2组间比较采用成组t检验;不符合正态分布的计量资料2组间比较采取Mann-Whitney U检验。计数资料组间比较采用χ2检验。采用Cox回归模型对患者预后影响因素进行单因素、多因素分析。使用Kaplan-Meier曲线分析患者的预后情况,并通过Log-rank检验比较差异。  结果  55例患者的癌组织中HER-2高表达15例(27.2%)、VEGF-A高表达23例(41.8%)、PD-L1高表达18例(32.7%),与癌旁组织比较,差异均有统计学意义(P值均<0.05)。不同HER-2表达组在肿瘤位置方面的差异具有统计学意义(P<0.05),不同VEGF-A表达组在肿瘤最大直径、肿瘤分化度、肿瘤位置、N分期、周围器官侵犯、脉管侵犯方面的差异均有统计学意义(P值均<0.05),不同PD-L1表达组在周围器官侵犯、脉管侵犯、疾病分期方面的差异均有统计学意义(P值均<0.05)。Cox多因素分析结果显示,术前CA19-9水平、HER-2表达为影响患者总生存期的独立危险因素(P值均<0.05),术前CA19-9水平、肿瘤最大直径、N分期、VEGF-A、PD-L1表达为患者无进展生存期的独立影响因素(P值均<0.05)。Kaplan-Meier分析结果显示,HER-2高表达患者的总生存期和无进展生存期相比于HER-2低表达患者均有显著差异(P值均<0.05)。  结论  HER-2、VEGF-A、PD-L1对于胆囊癌患者的临床意义重大,是潜在的靶向治疗位点。
胰腺疾病
基于炎症因子、肺超声和CT评分系统的急性胰腺炎预后不良列线图预测模型的构建
任夏, 叶叶, 刘罗杰, 徐晓丹, 张岩
2025, 41(4): 713-721. DOI: 10.12449/JCH250417
摘要(922) HTML (379) PDF (2126KB)(49)
摘要:
  目的  本研究旨在通过分析急性胰腺炎(AP)患者的炎症因子、肺超声评分及CT评分系统,识别AP预后不良的独立危险因素,并构建列线图预测模型,为临床早期干预提供依据。  方法  选取2021年1月—2023年10月苏州大学附属常熟医院收治的409例AP患者为研究对象,使用简单随机抽样法以7∶3分为建模组(n=288)和验证组(n=121)。各组依据转归情况分为预后不良组与预后良好组。于入院72 h内检测患者C反应蛋白(CRP)、降钙素原(PCT)、IL-6、IL-10、TNF-α水平,并在入院48~72 h评估肺超声(LUS)评分、改良CT严重指数(MCTSI)评分和胰腺外炎症CT(EPIC)评分。符合正态分布的计量资料组间比较采用成组t检验;非正态分布的计量资料组间比较采用Mann-Whitney U秩和检验。计数资料组间比较采用χ2检验。使用LASSO回归筛选变量并纳入多因素Logistic回归模型,分析AP预后不良的独立危险因素,构建列线图预测模型,采用受试者操作特征曲线(ROC曲线)和校准曲线评估列线图模型的区分度和拟合优度,决策曲线分析评价预测模型的临床适用性。  结果  288例建模组AP患者中,预后不良组33例(11.46%),预后良好组255例(88.54%);121例验证组AP患者中,预后不良组13例(10.74%),预后良好组108例(89.26%)。建模组中,与预后良好组相比,预后不良组CRP(Z=3.607)、IL-6(Z=4.189)、TNF-α(t=2.584)水平,以及LUS评分(t=8.075)、MCTSI评分(t=5.929)、EPIC评分(t=8.626)均较高(P值均<0.05);多因素Logistic回归分析显示,CRP(OR=3.592,95%CI:1.272~10.138)、IL-6(OR=4.225,95%CI:1.468~12.156)、TNF-α(OR=3.540,95%CI:1.205~10.401)、LUS评分(OR=7.094,95%CI:2.398~20.986)、MCTSI评分(OR=7.612,95%CI:2.832~20.462)及EPIC评分(OR=11.915,95%CI:4.007~35.432)是AP患者发生预后不良的独立危险因素(P值均<0.05)。依据以上6项,建立列线图预测模型,ROC曲线下面积(AUC)为0.924(95%CI:0.883~0.964);最佳截断值的约登指数为0.670,灵敏度为0.909,特异度为0.761;校准曲线显示建模组及验证组的预测结果与观察结果之间均具有良好的一致性;决策曲线分析提示预测模型具有临床有效性。  结论  基于CRP、IL-6、TNF-α、LUS评分、MCTSI评分及EPIC评分构建的AP患者预后不良的风险预测列线图模型有较好的预测效能,可为AP患者临床早期强化治疗方案提供重要策略指导。
咖啡酸在重症急性胰腺炎小鼠模型中的作用及其机制
续嗣钰, 柳涛, 兰路路, 薛怡宁, 卫威, 韩奕, 穆素成, 宋海燕, 杜施霖
2025, 41(4): 722-730. DOI: 10.12449/JCH250418
摘要(1117) HTML (493) PDF (5001KB)(62)
摘要:
  目的  研究咖啡酸(CA)对雨蛙素联合脂多糖诱导的重症急性胰腺炎的影响及潜在机制,以期为重症急性胰腺炎治疗提供潜在新型药物的研究基础。  方法  将6周龄C57BL/6J小鼠分为4组:对照组、模型组、CA组及醋酸奥曲肽(OA)组,每组6只。除对照组注射生理盐水外,其余各组通过腹腔注射雨蛙素联合脂多糖构建重症急性胰腺炎小鼠模型,在初次注射雨蛙素1 h后,CA组及OA组小鼠分别给予CA腹腔注射或OA皮下注射3次,每次间隔8 h。造模24 h后观察小鼠一般情况,收集血清和胰腺、肺、结肠组织。通过HE染色观察胰腺、肺组织病理变化。检测小鼠血清α-淀粉酶、脂肪酶、TNF-α、IL-6、ALT、AST和Cr水平。RT-PCR检测胰腺、肺组织促炎因子表达,通过髓过氧化物酶(MPO)免疫组化观察中性粒细胞浸润程度,Western Blot检测胰腺和肺组织核因子-κB(NF-κB)活化,中性粒细胞胞外陷阱(NET)形成标志物瓜氨酸化组蛋白H3(CitH3)水平,以及结肠组织ZO-1表达水平。计量资料多组间数据比较采用单因素方差分析,进一步两两比较采用Dunnett’s t检验。  结果  与对照组比较,模型组小鼠胰腺及肺组织损伤严重,血清α-淀粉酶、脂肪酶活性,以及血清、肺组织中促炎因子IL-6、IL-1β和TNF-α水平均显著升高(P值均<0.05),胰腺及肺组织中NF-κB活化、中性粒细胞浸润及NET形成均显著增加(P值均<0.05)。与模型组相比,CA组小鼠胰腺及肺组织病理损伤减轻,血清α-淀粉酶活性以及血清、肺组织中促炎因子IL-6、IL-1β和TNF-α水平均下调(P值均<0.05),胰腺及肺组织NF-κB活化、中性粒细胞浸润及NET形成均减少(P值均<0.05)。  结论  CA可减轻雨蛙素联合脂多糖诱导的SAP小鼠模型的症状,抑制中性粒细胞募集及NET形成可能是其部分作用机制。
病例报告
IARS1单杂合突变相关生长迟缓和肝病1例报告
李阳, 毛迪, 魏丽亚, 巩纯秀
2025, 41(4): 731-735. DOI: 10.12449/JCH250419
摘要(722) HTML (192) PDF (1958KB)(50)
摘要:
IARS1基因变异罕见,经检索,仅有10例详尽临床及遗传数据的病例被文献报道。本文报道了1例IARS1单杂合变异相关的生长迟缓和肝病,并总结IARS1变异导致生长迟缓、智力障碍、肌张力低下和肝病的临床及遗传学特点,扩展了生长迟缓、智力障碍、肌张力低下和肝病的遗传谱。
综述
慢性乙型肝炎患者低病毒血症临床治疗的挑战与策略
甘惠琳, 石翠翠, 李光明
2025, 41(4): 736-741. DOI: 10.12449/JCH250420
摘要(1663) HTML (525) PDF (682KB)(235)
摘要:
HBV感染是全球性的公共卫生问题,影响着2.5亿人的健康。尽管抗HBV治疗取得了显著进展,但仍有一部分患者在接受抗病毒治疗后出现低病毒血症(LLV),即未达到病毒转阴,HBV DNA载量持续维持在一个相对较低水平(20~2 000 IU/mL)。LLV常由多种因素导致,如病毒的高度稳定性、抗病毒药物难以完全清除病毒、宿主免疫因素、耐药性等,增加了抗病毒治疗的难度。此外,LLV同样会对肝脏造成损害,最终可能进展为肝细胞癌等严重结局。本文旨在综述乙型肝炎LLV的诊断、影响因素、临床意义及其治疗策略。
基于女性偏倚现象探讨性激素调控T淋巴细胞介导自身免疫性肝炎的作用机制
王海强, 孙大沙, 王晗, 田家华, 崔馨月, 李明
2025, 41(4): 742-747. DOI: 10.12449/JCH250421
摘要(796) HTML (198) PDF (1026KB)(45)
摘要:
自身免疫性肝炎(AIH)是一种以肝实质破坏和慢性纤维化为特征的自身免疫性疾病,常由T淋巴细胞介导发生。AIH的发病机制涉及多个因素,包括性别、地域、环境因素以及遗传易感性等。在AIH中,常出现女性偏倚现象,即女性发病风险远高于男性,这种性别差异与多种因素相关,性激素可能是导致AIH女性偏向性的重要因素之一,然而机制尚不完全清楚。深入了解性激素在AIH发病中的作用机制将有助于更好理解该病的发病机理,并可能为未来的治疗方法及预防策略的开发提供重要线索。本文综述雌激素和雄激素通过调控T淋巴细胞调节AIH发病的作用机制,以期为深入探讨性激素在AIH病因学中的潜在作用提供新思路和新方向。
白细胞介素-10家族抗肝纤维化的作用机制及临床应用价值
罗琪, 曾碧雨, 张荣, 黄良江, 付蕾, 姚春
2025, 41(4): 748-754. DOI: 10.12449/JCH250422
摘要(737) HTML (236) PDF (733KB)(46)
摘要:
白细胞介素-10(IL-10)家族在多种细胞中表达,具有广泛的生物学功能,在肝纤维化的发生发展中发挥重要作用。肝纤维化是一种慢性肝病,其特征是肝组织损伤后的异常修复、肝星状细胞活化及细胞外基质过度积累。IL-10家族成员包括IL-10、IL-19、IL-20、IL-22、IL-24、IL-26、IL-28、IL-29、IL-35等,在结构和功能上具有相似性,其表达水平的变化与肝纤维化的发展密切相关。适度上调IL-10家族成员表达可维持肝星状细胞静止状态,促进巨噬细胞向抗炎表型转化,调节自然杀伤细胞活性,进而抑制炎症反应,调控细胞凋亡和自噬,最终逆转肝纤维化进程。本文总结探讨了IL-10家族在抗肝纤维化中的作用机制及其在相关中西医治疗中的应用价值,为肝纤维化治疗提供新的思考。
微环境不同组分动态变化调控肝纤维化发展的特征与机制
赵慧兰, 刘宗绪, 李淑敏, 王之枫, 刘明慧, 盛倩, 柯坤彬, 石西南
2025, 41(4): 755-760. DOI: 10.12449/JCH250423
摘要(615) HTML (612) PDF (1177KB)(63)
摘要:
肝脏有代谢、解毒、免疫防御等功能,肝脏微环境稳态的维持对机体健康极其重要。肝脏的微环境包括肝实质细胞、非实质细胞及非细胞成分等。不同病因导致肝脏慢性损伤性炎症反应,促进肝纤维化的形成和发展。在肝纤维化早、中晚不同时期的动态发展过程中,肝脏微环境的各种成分会发生一系列的变化,而这些能促进肝纤维化的恶性发展。深入探索微环境各成分变化机制对肝纤维化的发生机制和探索潜在的治疗策略至关重要。
酒精性肝硬化患者的营养评估与管理
王立杰, 杨颜榕, 陈煜, 董金玲
2025, 41(4): 761-767. DOI: 10.12449/JCH250424
摘要(883) HTML (471) PDF (787KB)(89)
摘要:
酒精性肝硬化患者多合并不同程度的营养不良,营养不良的患者更易出现感染、腹水等并发症,预后不佳。在临床工作中,对患者进行营养风险筛查尤为重要,使用合理的营养评估工具评定营养状态,制订个体化的营养补充方案,从而促进疾病恢复,改善患者预后及提高生活质量。本文阐述了酒精性肝硬化患者的营养筛查、评估及管理的具体方法,通过系统化的营养筛查和评估,可以早期识别出营养不良的患者,从而及时进行干预。个体化的营养补充方案需根据患者的情况进行调整,以满足其营养需求,促进肝功能的恢复和整体健康状况的改善,提升长期生活质量。
肝硬化患者肌少症与脂质代谢异常的关系及经颈静脉肝内门体分流术干预的潜在益处
李秦念, 朱碧莲, 唐映梅, 张宸瑞
2025, 41(4): 768-772. DOI: 10.12449/JCH250425
摘要(803) HTML (164) PDF (599KB)(53)
摘要:
随着肝硬化的进展,患者常常伴随出现肌少症和脂质代谢紊乱,两者之间的复杂相互作用不仅加剧了肝硬化的病程进展,还对患者的预后和生活质量产生了显著影响。而经颈静脉肝内门体分流术(TIPS)作为一种缓解肝硬化相关并发症的有效手段,通过改善肝脏血流动力学,降低门静脉压力,可以在一定程度上改善肌少症。此外,TIPS后血脂水平可能会发生不同程度的变化,这可能与肝脏的代谢功能恢复和血流动力学的改变密切相关。本文旨在介绍肝硬化、肌少症及脂质代谢异常之间的关系,阐述TIPS对肝硬化患者肌少症及脂质代谢异常的影响,探讨其机制及临床意义,为临床治疗提供理论依据。
肠道菌群在失代偿期肝硬化并发急性肾损伤中的致病机制及相关靶向治疗
林清标, 王贵强
2025, 41(4): 773-777. DOI: 10.12449/JCH250426
摘要(640) HTML (225) PDF (859KB)(52)
摘要:
急性肾损伤(AKI)是失代偿期肝硬化患者的严重并发症之一,其病死率高,预后差。目前的研究发现,肠道菌群可能与失代偿期肝硬化并发AKI的发生发展相关,基于肠道菌群的靶向治疗方法在该类患者防治研究中的应用也值得关注。因此,本文将肠道菌群在肝硬化并发AKI中的可能致病机制及肝硬化并发AKI潜在的靶向肠道菌群防治措施相关研究加以综述,为了解该类患者的发病机制及相关治疗提供参考依据。
肿瘤坏死因子超家族因子14(LIGHT)在慢性肝病中的作用机制
马亚鹏, 马亚楠
2025, 41(4): 778-783. DOI: 10.12449/JCH250427
摘要(654) HTML (276) PDF (870KB)(61)
摘要:
肿瘤坏死因子超家族因子14是肿瘤坏死因子超家族的新成员之一,主要通过与功能性受体疱疹病毒侵入介质、淋巴毒素β受体、可溶性诱饵受体3结合介导不同生物学效应,在炎症性疾病、纤维化疾病、抗肿瘤免疫中发挥重要的调节作用。近年来,肿瘤坏死因子超家族因子14在慢性肝病发生发展中的机制及在治疗中的作用日益受到重视。
进行性家族性肝内胆汁淤积症的基因分型及治疗进展
刘怡静, 周方
2025, 41(4): 784-792. DOI: 10.12449/JCH250428
摘要(1141) HTML (398) PDF (766KB)(104)
摘要:
进行性家族性肝内胆汁淤积症(PFIC)是一组罕见的常染色体隐性遗传病。近年来,随着分子生物学发展,不断有新的致病基因被发现,根据在线人类孟德尔遗传数据库,基因分型目前分为12型。PFIC主要表现为黄疸、瘙痒、生长发育迟缓及脂溶性维生素吸收不良等,一些变异型迅速进展为肝纤维化、肝硬化、肝衰竭,甚至肝癌。不同类型PFIC临床表现和治疗策略不尽相同,基因检测有助于实现早期识别及诊断。本文就PFIC基因分型、临床特征和治疗进展进行综述。
中药有效成分及方剂干预胰腺星状细胞治疗慢性胰腺炎的作用机制
程汝阳, 宋蔚宁, 蒋鑫, 王业豪, 刘林, 卢芳, 刘树民
2025, 41(4): 793-800. DOI: 10.12449/JCH250429
摘要(1001) HTML (405) PDF (1146KB)(60)
摘要:
慢性胰腺炎(CP)是一种以炎症反复发作和胰腺组织受到进行性损伤为特征的慢性疾病,其病情恶化时还会增加CP患者胰腺癌的发生风险,严重威胁着CP患者的身体健康。近些年,CP发病机制的研究多集中在胰腺星状细胞(PSC)的激活及在胰腺纤维化中的作用。本文详细叙述了PSC在CP中的作用机制,总结了中药有效成分及方剂干预PSC治疗CP的研究现状,指出了中药有效成分及方剂治疗CP的研究方向,为日后CP患者的临床治疗提供参考。
国外期刊精品文章简介
Hepatology|成纤维细胞生长因子4是酒精性肝病的潜在治疗新靶点
2025, 41(4): 610-610. DOI: 10.12449/JCH2504.gwqkjpwzjj1
摘要(536) HTML (116) PDF (867KB)(50)
摘要:
Hepatology|PBX1-IL-7R轴调控肝纤维化的新机制
2025, 41(4): 735-735. DOI: 10.12449/JCH2504.gwqkjpwzjj2
摘要(404) HTML (177) PDF (886KB)(42)
摘要:
Journal of Hepatology|酸味神经元信号通过调控巨噬细胞活性减轻肝损伤
2025, 41(4): 754-754. DOI: 10.12449/JCH2504.gwqkjpwzjj3
摘要(422) HTML (176) PDF (860KB)(33)
摘要:
Hepatology International|原发性胆汁性胆管炎患者风险分层标准的再探讨
2025, 41(4): 767-767. DOI: 10.12449/JCH2504.gwqkjpwzjj4
摘要(358) HTML (143) PDF (1215KB)(44)
摘要:
Gut|应激肝细胞通过产生白细胞衍生趋化因子2加重酒精相关性肝炎
2025, 41(4): 800-800. DOI: 10.12449/JCH2504.gwqkjpwzjj5
摘要(318) HTML (177) PDF (866KB)(61)
摘要:
读者·作者·编者
勘误:《2024年国际酒精相关肝病专家小组立场声明:代谢功能障碍和酒精相关性肝病》解读
2025, 41(4): 697-697.
摘要(291) HTML (185) PDF (874KB)(44)
摘要:
《临床肝胆病杂志》关于开放研究者与贡献者身份识别码(ORCID)的要求
2025, 41(4): 792-792.
摘要(253) HTML (172) PDF (858KB)(32)
摘要:
消息
《临床肝胆病杂志》2025年1~8期重点号选题及执行主编
2025, 41(4): 618-618.
摘要(242) HTML (162) PDF (832KB)(39)
摘要:
《临床肝胆病杂志》入选“中国科技期刊卓越行动计划·中文领军期刊(2024—2028)”
2025, 41(4): 627-627.
摘要(209) HTML (189) PDF (1191KB)(31)
摘要:
《临床肝胆病杂志》参加2024年“不忘初心,助力基层”主题实践系列公益活动并获表彰
2025, 41(4): 721-721.
摘要(200) HTML (165) PDF (849KB)(27)
摘要:
致谢
本期审稿专家
2025, 41(4): 624-624. DOI: 10.12449/JCH2504.zhixie
摘要(236) HTML (100) PDF (822KB)(33)
摘要: