中文English
ISSN 1001-5256 (Print)
ISSN 2097-3497 (Online)
CN 22-1108/R

Vol.41 No.4 (294 in total) Apr. 2025

Theme Issue: Advances in the Diagnosis and Treatment of Pancreatic Cancer 

Executive Chief Editor: ZHAO Yupei

Peking Union Medical College Hospital,Chinese Academy of Medical Sciences

Display Method:
Editorial
Advances and thoughts in the diagnosis and treatment of pancreatic cancer
Yueze LIU, Taiping ZHANG, Yupei ZHAO
2025, 41(4): 601-604. DOI: 10.12449/JCH250401
Abstract(1499) HTML (1031) PDF (541KB)(388)
Abstract:
In recent years, significant progress has been made in the standardized diagnosis and treatment of pancreatic cancer in China. From the lack of treatment options and poor drug efficacy at the beginning to the current comprehensive treatment modality integrating surgery, chemotherapy, radiotherapy, immunotherapy, and targeted therapy under multidisciplinary decision-making, the diagnosis and treatment of pancreatic cancer has gradually achieved higher levels of individualization, refinement, and precision. With reference to the latest evidence-based medical data, this article discusses the hot topics in the diagnosis and treatment of pancreatic cancer and explores the future development directions of this field.
Expert Forum
Advances in the establishment and application of preclinical tumor models of pancreatic cancer
Changwei DU, Yueze LIU, Zhe CAO, Taiping ZHANG
2025, 41(4): 605-610. DOI: 10.12449/JCH250402
Abstract(824) HTML (497) PDF (690KB)(105)
Abstract:
This article reviews the research advances in the characteristics and application progress of various new models for preclinical cancer research on pancreatic cancer, analyzes and discusses the history, current research status, and advantages and disadvantages of new models of pancreatic cancer, including patient-derived tissue xenograft, conditional reprogramming, and patient derived organoids, and it also reviews the studies that have achieved clinical transformation from preclinical models and proposes possible research prospects in the future.
Pancreatic cancer neuroecology: Current status, mechanisms, and prospect from multi-dimensional perspectives
Shangyou ZHENG, Honghui JIANG, Chonghui HU, Tingting LI, Tianhao HUANG, Rihua HE, Yong JIANG, Rufu CHEN
2025, 41(4): 611-618. DOI: 10.12449/JCH250403
Abstract(1481) HTML (537) PDF (1521KB)(135)
Abstract:
Pancreatic cancer is characterized by nerve invasion and a high mortality rate, and its pathological process depends on the complex interaction network between tumor and the nervous system. Based on the concept of “pancreatic cancer neuroecology”, this article analyzes the mechanism of action of peripheral motor nerve, sensory nerve, and central nerve in tumorigenesis, pain regulation, and cachexia formation and emphasizes the synergistic regulatory role of immune cells, Schwann cells, and extracellular matrix in the microenvironment of perineural invasion. At the same time, this article further elaborates on the metabolic interaction and chemotaxis between neuraxis and tumor, the effect on promoting chemotherapy resistance, and the dynamic relationship between neuroplasticity and tumor adaptability. In clinical practice, this article summarizes the key value of perineural invasion in prognostic evaluation, preoperative evaluation, and the selection of surgical strategy. In addition, this article reviews the basic research advances in the biomarkers and potential targets associated with perineural invasion in pancreatic cancer and points out the limitations of current model and transformation research. In the future, systematically analyzing the nerve-tumor-immune network and targeting its key nodes may provide multi-dimensional strategies and new breakthroughs for the precise intervention of pancreatic cancer, the reversal of drug resistance, and the relief of symptoms.
The mRNA vaccines: A new era for the individualized treatment of pancreatic cancer
Xinjing WANG, Wei WANG, Baiyong SHEN
2025, 41(4): 619-624. DOI: 10.12449/JCH250404
Abstract(1642) HTML (900) PDF (1097KB)(137)
Abstract:
Pancreatic cancer is currently recognized as one of the most malignant solid tumors, with a 5-year survival rate of 13% over a long period of time, and 80% of the patients have lost the opportunity for surgery at the time of confirmed diagnosis. In addition, the efficacy of conventional radiochemotherapy and targeted therapy is limited by high tumor heterogeneity and the complex immunosuppressive microenvironment. In recent years, mRNA vaccines have become a new focus of tumor immunotherapy due to their unique technical advantages. Based on non-integrating mRNA templates, mRNA vaccines enable precise encoding of tumor neoantigens, which are efficiently expressed in the host and can induce multifaceted immune responses. As for pancreatic cancer, current studies mainly focus on the development and optimization of tumor-associated antigen vaccines and tumor-specific antigen vaccines, as well as next-generation sequencing-guided neoantigen epitope optimization, innovative targeted delivery systems, and artificial intelligence-powered predictive models for immune response, thereby promoting the application of mRNA vaccines in the precise treatment of pancreatic cancer. Further studies should make breakthroughs in the targeted blockade of critical immunosuppressive molecules within the tumor microenvironment, the precise identification of tumor-specific antigenic epitopes, and the development of highly efficient vaccines, so as to bring new hopes for patients with pancreatic cancer.
Guideline
An excerpt of ESMO clinical practice guideline interim update on the management of biliary tract cancer in 2025
Delong QIN, Yue TANG, Zonglong LI, Jialu CHEN, Zhaohui TANG, Zhiwei QUAN
2025, 41(4): 625-627. DOI: 10.12449/JCH250405
Abstract(1579) HTML (692) PDF (734KB)(250)
Abstract:
In January 2025, the European Society for Medical Oncology (ESMO) released the ESMO clinical practice guideline interim update on the management of biliary tract cancer as a supplementary update to Biliary tract cancer: ESMO clinical practice guideline for diagnosis, treatment and follow-up published in November 2022. This interim update mainly revises the latest evidence-based medical recommendations in the key fields of molecular diagnostics and clinical management since the release of the original guidelines, and it is not a comprehensive update of the entire document. This article summarizes and makes an excerpt of the new recommendations from this interim update.
Viral Hepatitis
Effect of pegylated interferon-‍α‍-2b therapy on cytotoxicity of virus-specific CD8+ T cells in HBeAg-negative patients with chronic hepatitis B virus infection
Lei QIN, Guangpeng LI, Peijun SHEN, Lanfang ZHANG, Xiaofei YANG, Meijuan PENG, Ye ZHANG
2025, 41(4): 628-636. DOI: 10.12449/JCH250406
Abstract(816) HTML (276) PDF (990KB)(85)
Abstract:
  Objective  To investigate the change in the activity of hepatitis B virus (HBV)-specific CD8+ T cells after pegylated interferon-α-2b (PEG-IFN-α-2b) therapy in HBeAg-negative patients with chronic HBV infection.  Methods  A total of 53 HBeAg-negative patients with chronic HBV infection who attended The First Affiliated Hospital of Xinxiang Medical University and Tangdu Hospital of Air Force Mdical University from April 2020 to June 2022 were enrolled and treated with PEG-IFN-α-2b (180 μg/week, subcutaneous injection) antiviral therapy. The study endpoint was HBsAg clearance (course of treatment<48 weeks) or 48 weeks (course of treatment≥48 weeks). Peripheral blood mononuclear cells were isolated at baseline and study endpoint, and peripheral blood T cell counts were measured. Enzyme-linked immunospot assay was used to measure the frequency of HBV-specific CD8+ T cells secreting perforin, granzyme B, and interferon-γ. A total of 17 HLA-A*02-restricted patients were selected, and CD8+ T cells were purified to establish direct- and indirect-contact co-culture systems for HBV-specific CD8+ T cells and HepG2.2.15 cells. The level of lactate dehydrogenase in supernatant was measured to calculate the mortality rate of HepG2.2.15 cells, and the levels of HBV DNA, cytotoxic molecules, and cytokines in supernatant were also measured. Flow cytometry was used to measure the expression of apoptosis ligands, and the cytotoxicity of HBV-specific CD8+ T cells was evaluated. The independent samples t-test or the paired t-test was used for comparison of normally distributed continuous data between two groups, and the Mann-Whitney U test or the Wilcoxon rank-sum test was used for comparison of non-normally distributed continuous data between two groups.  Results  The HBsAg clearance rate at study endpoint was 30.19% (16/53). There were no significant differences in peripheral blood T cell counts (CD3+, CD4+, and CD8+ T cells) between baseline and study endpoint (P>0.05). At study endpoint, there was a significant increase in the frequency of HBV-specific CD8+ T cells secreting perforin, granzyme B, and interferon-γ (U=177.50, t=11.90, U=186.50, all P<0.001), and the patients with HBsAg clearance had a significantly higher frequency of such HBV-specific CD8+ T cells than those without HBsAg clearance (U=120.50, t=2.73, U=121.50, all P<0.01). In the direct- and indirect-contact co-culture systems at study endpoint, HBV-specific CD8+ T cells induced a significant reduction in HBV DNA in the supernatant of HepG2.2.15 cells (all P<0.001) and significant increases in the secretion of interferon-γ and tumor necrosis factor-α (all P<0.05); in the direct-contact co-culture system, HBV-specific CD8+ T cells induced significant increases in the mortality rate of HepG2.2.15 cells (13.62%±3.27% vs 11.39%±2.40%, t=2.27, P=0.030) and the secretion of perforin and granzyme B (t=72.50, U=52.50, both P<0.05). In the direct- and indirect-contact co-culture systems, compared with HBV-specific CD8+ T cells from the patients without HBsAg clearance, the HBV-specific CD8+ T cells from patients with HBsAg clearance had a significantly greater reduction in HBV DNA (P<0.05) and significant increases in the secretion of interferon-γ and tumor necrosis factor-α (P<0.05).  Conclusion  PEG-IFN-‍α‍-2b therapy can help to achieve a relatively high HBsAg clearance rate in HBeAg-negative patients with chronic HBV infection, and the activity of HBV-specific CD8+ T cells is significantly enhanced, which is closely associated with HBsAg clearance.
Features of HBV RNA level in different stages of the natural history of chronic hepatitis B virus infection and its correlation with HBV DNA and HBsAg
Han GAO, Juanli WU, Yushuang ZHANG, Yiheng ZHANG, Lei WANG, Tao LI, Lixin ZHANG
2025, 41(4): 637-642. DOI: 10.12449/JCH250407
Abstract(962) HTML (278) PDF (1368KB)(130)
Abstract:
  Objective  To investigate the features of serum HBV RNA in different stages of the natural history of chronic hepatitis B virus (HBV) infection without antiviral treatment, as well as its correlation with serum HBV DNA and HBsAg.  Methods  A total of 306 treatment-naïve patients with chronic HBV infection who attended Department of Infections Diseases and Hepatoloty, the Second Hospital of Shandong University from January 2023 to June 2024 were divided into six groups based on the different stages of natural history, i.e., HBeAg-positive chronic HBV infection group with 29 patients, HBeAg-positive chronic hepatitis B (CHB) group with 107 patients, HBeAg-negative chronic HBV infection group with 18 patients, HBeAg-negative CHB group with 60 patients, HBeAg-positive indeterminate-phase chronic HBV infection group with 7 patients, and HBeAg-negative indeterminate-phase chronic HBV infection group with 85 patients. Real-time isothermal RNA amplification was used to measure serum high-sensitivity HBV RNA. The Kruskal-Wallis H test was used for comparison between multiple groups of continuous data, while the Mann-Whitney U test was used for comparison between two groups. The Spearman method was used to investigate the correlation of HBV RNA with HBV DNA and HBsAg.  Results  The HBeAg-positive chronic HBV infection group showed the highest level of serum HBV RNA [7.5 (7.4‍ ‍—‍ ‍7.9) log10 copies/mL], followed by the HBeAg-positive CHB group [7.4 (6.4‍ ‍—‍ ‍7.9) log10 copies/mL], the HBeAg-negative CHB group [4.5 (3.0‍ ‍—‍ ‍5.7) log10 copies/mL], and the HBeAg-negative chronic HBV infection group [1.0 (1.0‍ ‍—‍ ‍2.0) log10 copies/mL]; the HBeAg-positive indeterminate-phase chronic HBV infection group had a serum HBV RNA level of 3.9 (3.7‍ ‍—‍ ‍5.7) log10 copies/mL, and the HBeAg-negative indeterminate-phase chronic HBV infection group had a serum HBV RNA level of 2.0 (1.0‍ ‍—‍ ‍3.0) log10 copies/mL; there was a significant difference in serum HBV RNA level between the six groups (H=830.770, P<0.001). There was a significant difference in HBV RNA level between the HBeAg-positive chronic HBV infection group and all the other groups except the HBeAg-positive CHB group (all P<0.001). In the 306 patients with HBV infection, HBV RNA was strongly correlated with HBV DNA (r=0.92, P<0.001) and was moderately correlated with HBsAg (r=0.67, P<0.001). The correlation between serum HBV RNA and HBsAg in HBeAg-positive patients (r=0.61, P<0.001) was stronger than that in HBeAg-negative patients (r=0.31, P<0.001). For the patients with HBeAg-positive chronic HBV infection, the male patients with ALT>30 U/L and the female patients with ALT>19 U/L had a significantly lower serum HBV RNA level than the male patients with ALT≤30 U/L and the female patients with ALT≤19 U/L (P<0.001), and there was no significant difference in serum HBV RNA level between the latter group of patients and the HBeAg-positive CHB group (P>0.05).  Conclusion  In patients with chronic HBV infection who do not receive antiviral therapy, there is a difference in serum HBV RNA level in different stages of natural history, and serum HBV RNA level has the strongest correlation with HBV DNA and a relatively weak correlation with HBsAg. In patients with HBeAg-positive chronic HBV infection, serum HBV RNA level in male patients with ALT>30 U/L and female patients with ALT>19 U/L are in the transition stage between HBeAg-positive chronic HBV infection and HBeAg-positive CHB.
Fatty Liver Disease
Prevalence, influencing factors, and fibrosis risk stratification of metabolic dysfunction-associated fatty liver disease in the health check-up population in Beijing, China
Haiqing GUO, Mingliang LI, Feng LIU, Jing ZHANG
2025, 41(4): 643-649. DOI: 10.12449/JCH250408
Abstract(959) HTML (286) PDF (876KB)(134)
Abstract:
  Objective  To identify the patients with metabolic dysfunction-associated fatty liver disease (MAFLD) among the health check-up population, and to perform stratified management of patients with the low, medium, and high risk of advanced fibrosis based on noninvasive fibrosis scores.  Methods  A cross-sectional study was conducted among 3 125 individuals who underwent physical examination in Beijing Physical Examination Center from December 2017 to December 2019, and they were divided into MAFLD group with 1 068 individuals and non-MAFLD group with 2 057 individuals. According to BMI, the MAFLD group was further divided into lean MAFLD group (125 individuals with BMI<24 kg/m2) and non-lean MAFLD group (943 individuals with BMI≥24 kg/m2). Indicators including demographic data, past history, laboratory examination, and liver ultrasound were compared between groups. Fibrosis-4 (FIB-4) score, NAFLD fibrosis score (NFS), aspartate aminotransferase-to-platelet ratio index (APRI), and BARD score were calculated for the patients in the MAFLD group to assess the risk of advanced fibrosis. The independent-samples t test was used for comparison of normally distributed continuous data between two groups, and the Mann-Whitney U rank sum test was used for comparison of non-normally distributed continuous data between two groups; the chi-square test or the Fisher’s exact test was used for comparison of categorical data between groups. A logistic regression analysis was used to investigate the influence of each indicator in MAFLD.  Results  Compared with the non-MAFLD group, the MAFLD group had significantly higher age (Z=-9.758, P<0.05), proportion of male patients (χ2=137.555, P<0.05), and levels of body weight (Z=-27.987, P<0.05), BMI (Z=-32.714, P<0.05), waist circumference (Z=-31.805, P<0.05), hip circumference (Z=-26.342, P<0.05), waist-hip ratio (Z=-28.554, P<0.05), alanine aminotransferase (ALT) (Z=-25.820, P<0.05), aspartate aminotransferase (AST) (Z=-16.894, P<0.05), gamma-glutamyl transpeptidase (GGT) (Z=-25.069, P<0.05), alkaline phosphatase (Z=-12.533, P<0.05), triglyceride (Z=-27.559), total cholesterol (Z=-7.833, P<0.05), low-density lipoprotein cholesterol (LDL-C) (Z=-8.222, P<0.05), and uric acid (UA) (Z=-20.024, P<0.05), as well as a significantly higher proportion of patients with metabolic syndrome (MetS) (χ2=578.220, P<0.05), significantly higher prevalence rates of hypertension (χ2=241.694, P<0.05), type 2 diabetes (χ2=796.484, P<0.05), and dyslipidemia (χ2=369.843, P<0.05), and a significant reduction in high-density lipoprotein cholesterol (HDL-C) (Z=23.153, P<0.001). The multivariate logistic regression analysis showed that male sex (odds ratio [OR]=1.45, 95% confidence interval [CI]: 1.203‍ ‍—‍ ‍1.737), ALT (OR=1.05, 95%CI: 1.046‍ ‍—‍ ‍1.062), LDL-C (OR=1.23, 95%CI: 1.102‍ ‍—‍ ‍1.373), and comorbidity with MetS (OR=5.97, 95%CI: 4.876‍ ‍—‍ ‍7.316) were independently associated with MAFLD. Compared with the non-lean MAFLD group, the lean MAFLD group had significantly higher age (Z=3.736, P<0.05) and HDL-C (Z=2.679, P<0.05) and significant reductions in the proportion of male patients (χ2=28.970, P<0.05), body weight (Z=-14.230, P<0.05), BMI (Z=-18.188, P<0.05), waist circumference (Z=-13.451, P<0.05), hip circumference (Z=-13.317, P<0.05), ALT (Z=-4.519, P<0.05), AST (Z=-2.258, P<0.05), GGT (Z=-4.592, P<0.05), UA (Z=-4.415, P<0.05), the proportion of patients with moderate or severe fatty liver disease or MetS (χ2=42.564, P<0.05), and the prevalence rates of hypertension (χ2=12.057, P<0.05) and type 2 diabetes (χ2=3.174, P<0.05). Among the patients with MAFLD, 10 patients (0.9%) had an FIB-4 score of >2.67, 4 patients (0.4%) had an NFS score of >0.676, 8 patients (0.7%) had an APRI of >1, and 551 patients (51.6%) had a BARD score of ≥2.  Conclusion  There is a relatively high prevalence rate of MAFLD among the health check-up population in Beijing, but with a relatively low number of patients with a high risk of advanced fibrosis, and such patients need to be referred to specialized hospitals for liver diseases.
Construction of an evaluation scale for non-alcoholic fatty liver disease with internal retention of dampness and turbidity based on the method of combining disease and syndrome
Cheng ZHOU, Jinqiu YANG, Tong LIU, Shanzheng LI, Wenxia ZHAO
2025, 41(4): 650-660. DOI: 10.12449/JCH250409
Abstract(783) HTML (352) PDF (1030KB)(57)
Abstract:
  Objective  To develop a scale for evaluating the syndrome of internal retention of dampness and turbidity in nonalcoholic fatty liver disease (NAFLD) that combines disease and syndrome and has the characteristics of traditional Chinese medicine (TCM).  Methods  An item pool was established for evaluating the syndrome of internal retention of dampness and turbidity in nonalcoholic fatty liver disease (NAFLD) with reference to the guideline for developing international scales. A clinical survey was conducted among the outpatients and inpatients who were diagnosed with NAFLD and had the syndrome of internal retention of dampness and turbidity in Department of Hepatology and Spleen-Stomach, The First Affiliated Hospital of Henan University of Chinese Medicine, from June to August, 2023, and the items were screened based on the classical test theory and the item response theory. An expert questionnaire was developed, and expert discussions were conducted using the Delphi method to identify the items for evaluating the syndrome of internal retention of dampness and turbidity in NAFLD. Finally, the scale was given scientific scores.  Results  A preliminary item pool was established, with 16 primary items and 22 secondary items, and it was divided into the two dimensions of disease and syndrome type. Clinical pre-survey suggested to retain 9 primary items and 14 secondary items, while the Delphi expert questionnaire recommended to retain 11 primary items and 15 secondary items, and tongue manifestation and pulse manifestation were no longer used for assessing the severity of syndrome. After hierarchical analysis and scientific assignment of scores, the scale for evaluating the syndrome of internal retention of dampness and turbidity in NAFLD had a total score of 123 points and 9 important items, i.e., discomfort in the hypochondrium, abdominal fullness and distension, obesity, heaviness of the head and body, loose stool, anorexia, coughing up phlegm, nausea with a tendency to vomit, and lethargy.  Conclusion  A preliminary scale is established for evaluating the syndrome of internal retention of dampness and turbidity in NAFLD, which fills the gap in this research field and provides a basis for further clinical application.
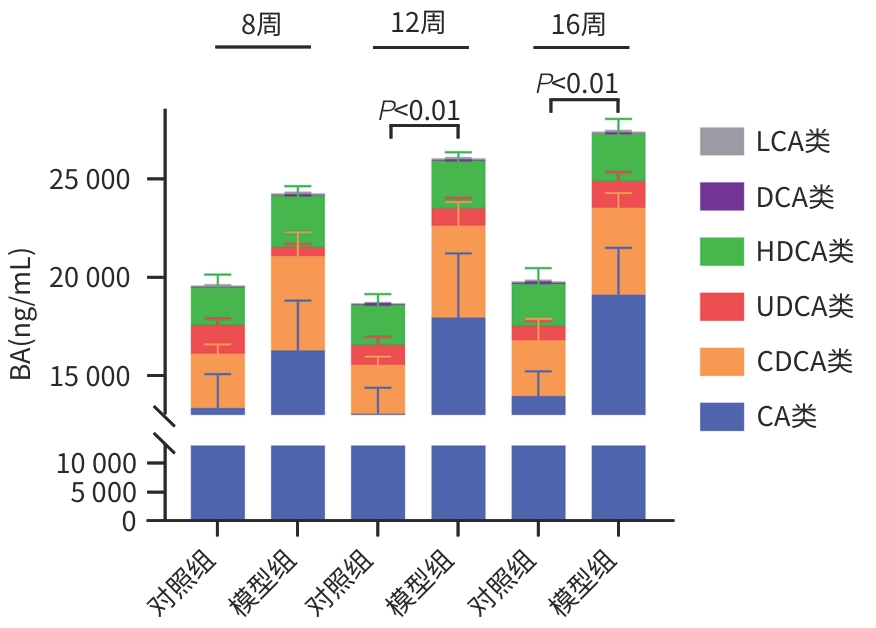
Changes in hepatic bile acid profile in a mouse model of metabolic-associated steatohepatitis induced by a high-fat, high-sugar, and high-cholesterol diet combined with carbon tetrachloride
Jingjing WANG, Jinghua PENG, Yu LIU, Feipeng XU, Wei LIU, Hailin YANG, Ping LIU
2025, 41(4): 661-669. DOI: 10.12449/JCH250410
Abstract(1386) HTML (460) PDF (4013KB)(72)
Abstract:
  Objective  To compare the hepatic bile acid profile between a mouse model of metabolic-associated steatohepatitis (MASH) induced by a high-fat, high-sugar, and high-cholesterol diet combined with intraperitoneal injection of 10% carbon tetrachloride (CCl4) and MASH cases in clinical practice, and to investigate the feasibility of this model in studying drug interventions on bile acid profile in MASH.  Methods  A total of 30 male C57BL/6J mice were randomly divided into control group and model group, with 15 mice in each group. The mice in the control group were given normal diet and drinking water and weekly injections of olive oil, and those in the model group were given a high-fat, high-sugar, and high-cholesterol diet, high-sugar drinking water, and weekly injections of CCl4+olive oil. At the end of weeks 8, 12, and 16, 5 mice were selected from each group to collect samples. Behavioral assessments were performed, and body weight and liver wet weight were measured; liver pathology and lipid deposition were evaluated by HE staining, SAF scoring, oil Red O staining, the semi-quantitative analysis of stained area, the serum levels of alanine aminotransferase (ALT) and aspartate aminotransferase (AST), and liver triglyceride (TG) content; Sirius Red staining was performed for liver tissue to assess liver fibrosis; ultra-performance liquid chromatography-tandem mass spectrometry and targeted metabolomics were used to measure the hepatic bile acid profile, including cholic acid (CA), glycocholic acid (GCA), chenodeoxycholic acid (CDCA), glycochenodeoxycholic acid (GCDCA), ursodeoxycholic acid (UDCA), tauroursodeoxycholic acid (TUDCA), hyodeoxycholic acid (HDCA), and glycodeoxycholic acid (GDCA). The independent-samples t test was used for comparison of normally distributed continuous data between two groups, and the Wilcoxon rank-sum test was used for comparison of non-normally distributed continuous data between two groups.  Results  Compared with the control group at the same time point, the model group had disheveled and dull fur, reduced activity, and relatively slow reactions at weeks 8, 12, and 16, as well as significant increases in liver wet weight (P<0.05), the serum level of ALT (P<0.05), the content of TG in the liver (P<0.05), and SAF score (P<0.05). As for the differentially expressed bile acids in liver tissue, compared with the control group at week 8, the model group had significantly higher levels of CA and CDCA and significantly lower levels of UDCA, TUDCA, HDCA, and GDCA (all P<0.05); compared with the control group at week 12, the model group had significantly higher levels of CA, GCA, CDCA, and GCDCA and significantly lower levels of UDCA and HDCA (all P<0.05); compared with the control group at week 16, the model group had significantly higher levels of CA, GCA, CDCA, GCDCA, and TUDCA and significantly lower levels of UDCA, HDCA, and GDCA (all P<0.05). As for the differentially expressed bile acids in the bile acid pool of liver tissue, compared with the control group at week 8, the model group had significantly higher levels of CA and CDCA and significantly lower levels of UDCA, TUDCA, GDCA, and HDCA (all P<0.05); compared with the control group at weeks 12 and 16, the model group had significantly higher levels of GCA and GCDCA and significantly lower levels of UDCA, GDCA, and HDCA (all P<0.05).  Conclusion  There are significant changes in the hepatic bile acid profile in a mouse model of MASH induced by a high-fat, high-sugar, and high-cholesterol diet combined with CCl4, which are similar to the changes in bile acids in MASH cases in clinical practice, suggesting that this model can be used to explore the interventional effect of drugs on the bile acid profile in MASH.
Liver Fibrosis and Liver Cirrhosis
Value of FibroScan, gamma-glutamyl transpeptidase-to-platelet ratio, S index, interleukin-6, and tumor necrosis factor-α in the diagnosis of HBeAg-positive chronic hepatitis B liver fibrosis
Yingyuan ZHANG, Danqing XU, Huan MU, Chunyan MOU, Lixian CHANG, Yuanzhen WANG, Hongyan WEI, Li LIU, Weikun LI, Chunyun LIU
2025, 41(4): 670-676. DOI: 10.12449/JCH250411
Abstract(867) HTML (428) PDF (1195KB)(85)
Abstract:
  Objective  To investigate the value of noninvasive imaging detection (FibroScan), two serological models of gamma-glutamyl transpeptidase-to-platelet ratio (GPR) score and S index, and two inflammatory factors of interleukin-6 (IL-6) and tumor necrosis factor-α (TNF-α) in predicting liver fibrosis in patients with HBeAg-positive chronic hepatitis B (CHB), as well as the consistency of liver biopsy in pathological staging, and to provide early warning for early intervention of CHB.  Methods  A retrospective analysis was performed for 131 HBeAg-positive CHB patients who underwent liver biopsy in The Third People’s Hospital of Kunming from January 2019 to December 2023. The results of liver biopsy were collected from all patients, and related examinations were performed before liver biopsy, including total bilirubin, alanine aminotransferase, platelet count, gamma-glutamyl transpeptidase, albumin, IL-6, TNF-α, liver stiffness measurement (LSM), and abdominal ultrasound. An analysis of variance was used for comparison of normally distributed continuous data between groups, and the Kruskal-Wallis H test was used for comparison of non-normally distributed continuous data between groups; the chi-square test was used for comparison of categorical data between groups. A Kappa analysis was used to investigate the consistency between LSM noninvasive histological staging and pathological staging based on liver biopsy, and the Spearman analysis was used to investigate the correlation between each variable and FibroScan in the diagnosis of liver fibrosis stage. The Logistic regression analysis was used to construct joint predictive factors. The receiver operating characteristic (ROC) curve was used to evaluate the value of each indicator alone and the joint predictive model in the diagnosis of liver fibrosis, and the Delong test was used for comparison of the area under the ROC curve (AUC).  Results  In the consistency check, inflammation degree based on liver biopsy had a Kappa value of 0.807 (P<0.001), and liver fibrosis degree based on liver biopsy had a Kappa value of 0.827 (P<0.001), suggesting that FibroScan noninvasive histological staging and liver biopsy showed good consistency in assessing inflammation degree and liver fibrosis stage. Age was positively correlated with LSM, GPR score, S index, IL-6, and TNF-α (all P<0.05), and GPR score, S index, IL-6, and TNF-α were positively correlated with LSM (all P<0.05). GPR score, S index, IL-6, and TNF-α were all independent risk factors for diagnosing significant liver fibrosis (≥S2) and progressive liver fibrosis (≥S3) (all P<0.05). As for each indicator alone, GPR score had the highest value in the diagnosis of significant liver fibrosis (≥S2), followed by S index, IL-6, and TNF-α, while S index had the highest value in the diagnosis of progressive liver fibrosis (≥S3), followed by GPR score, TNF-α, and IL-6. The joint model had a higher predictive value than each indicator alone (all P<0.05).  Conclusion  There is a good consistency between FibroScan noninvasive histological staging and pathological staging based on liver biopsy. GPR score, S index, IL-6, and TNF-α are independent risk factors for evaluating different degree of liver fibrosis in CHB, and the combined prediction model established by them can better diagnose liver fibrosis.
Accuracy of multivariate discriminant analysis versus fibrosis-4 in evaluating the liver fibrosis degree in patients with chronic HBV infection
Hongyu LIU, Xiaoting LI, Jianning JIANG, Chao JIN, Cailian CAI, Keshan WANG, Fangpeng LING, Bingling FAN, Minghua SU
2025, 41(4): 677-683. DOI: 10.12449/JCH250412
Abstract(897) HTML (276) PDF (879KB)(54)
Abstract:
  Objective  To investigate the accuracy of multiple discriminant analysis (MDA) versus fibrosis-4 (FIB-4) in assessing liver fibrosis degree in patients with HBV infection, as well as the possibility of MDA as an indicator for disease progression.  Methods  A total of 263 patients with HBV infection who underwent liver biopsy in The First Affiliated Hospital of Guangxi Medical University from April 2010 to April 2024 were included, and their clinical data were collected. According to the results of pathological examination, they were divided into non-significant fibrosis group (F<2) with 126 patients and significant fibrosis group (F≥2) with 137 patients. The correlation of MDA and FIB-4 with liver fibrosis degree was analyzed, and MDA and FIB-4 were compared in terms of their accuracy in assessing significant liver fibrosis. A total of 62 patients completed follow-up, and according to the presence or absence of progression to liver cirrhosis at the last follow-up visit, they were divided into progressive group with 21 patients and non-progressive group with 41 patients; the efficacy of MDA and FIB-4 in diagnosing disease progression was analyzed and compared. The independent-samples t test was used for comparison of normally distributed continuous data between groups, and the Mann-Whitney U test was used for comparison of non-normally distributed continuous data between groups; the Kruskal-Wallis H test was used for comparison between multiple groups, and the Bonferroni method was used for further comparison between two groups. The chi-square test was used for comparison of categorical data. The Spearman’s correlation coefficient was used for correlation analysis. The Wilcoxon signed rank sum test was used for the analysis of baseline data and data at the end of follow-up, and the binary Logistic regression analysis was used to investigate the influencing factors for progression to liver cirrhosis. The receiver operating characteristic (ROC) curve was used to investigate the diagnostic efficacy of indicators, the Z-test was used for comparison of the area under the ROC curve (AUC), and the paired chi-square test was used for comparison of the sensitivity, specificity, and accuracy of the two indicators.  Results  The correlation coefficient between FIB-4 and liver fibrosis degree was 0.378, while the correlation coefficient between MDA and liver fibrosis degree was -0.325 (both P<0.001). FIB-4 had an AUC of 0.688, a sensitivity of 64.96%, a specificity of 68.87%, a positive predictive value of 67.42%, a negative predictive value of 63.36%, an accuracy of 65.40%, and a cut-off value of 1.01, while MDA had an AUC of 0.653, a sensitivity of 52.55%, a specificity of 78.57%, a positive predictive value of 72.73%, a negative predictive value of 60.37%, an accuracy of 65.02%, and a cut-off value of 0.29, suggesting that compared with FIB-4, MDA had a lower sensitivity (P=0.004) and a higher specificity (P=0.001). The progressive group had a significantly higher age than the non-progressive group at baseline (t=2.611, P=0.011). For the progressive group, there was an increase in FIB-4 and a reduction in MDA from baseline to the end of follow-up (both P<0.001), while the non-progressive group showed no significant changes (both P>0.05). The multivariate Logistic regression analysis showed that aspartate aminotransferase (odds ratio [OR]=0.940, 95% confidence interval [CI]: 0.885‍ ‍—‍ ‍0.998, P<0.05) and MDA (OR=0.445, 95%CI: 0.279‍ ‍—‍ ‍0.710, P<0.001) were independent influencing factors for disease progression. MDA had an AUC of 0.893 and an optimal cut-off value of -0.01 in diagnosing the disease progression of liver cirrhosis.  Conclusion  MDA has a comparable accuracy to FIB-4 in the diagnosis of significant liver fibrosis, and MDA<-0.01 has a high accuracy in diagnosing the progression of liver fibrosis to liver cirrhosis, which can help to reduce the need for liver biopsy in clinical practice.
Liver Neoplasm
Value of serum Aldo-keto reductase family 1 member B10 (AKR1B10) in diagnosis of hepatocellular carcinoma
Yunling DU, Changjiang SHI, Fangyuan GAO, Mengna ZHANG, Lingling WANG, Zhuqing ZHANG, Ying MING, Shoujun XIE
2025, 41(4): 684-689. DOI: 10.12449/JCH250413
Abstract(882) HTML (239) PDF (1788KB)(61)
Abstract:
  Objective  To investigate the expression of serum Aldo-keto reductase family 1 member B10 (AKR1B10) in patients with hepatocellular carcinoma (HCC) in northern China, and to provide a new and valuable biomarker for the clinical diagnosis of HCC.  Methods  This study was conducted among 102 patients with HCC, 119 patients with benign liver disease, and 132 patients with other malignant tumors who attended The Affiliated Hospital of Chengde Medical University and 148 healthy individuals who underwent physical examination from May 2020 to May 2024. ELISA and chemiluminescence were used to measure the serum levels of AKR1B10 and alpha-fetoprotein (AFP). The Mann-Whitney U test was used for comparison of non-normally distributed continuous data between two groups, and the Kruskal-Wallis H test was used for comparison between three groups and further comparison between two groups; the chi-square test was used for comparison of categorical data between groups. The area under the ROC curve (AUC) was used to assess diagnostic efficiency.  Results  The expression level of AKR1B10 was 3 053.79 (1 475.67‍ ‍—‍ ‍4 605.86) pg/mL in the HCC group, 1 324.42 (659.68‍ ‍—‍ ‍2 023.88) pg/mL in the benign liver disease group, 660.68 (377.56‍ ‍—‍ ‍2 087.77) pg/mL in the other malignant tumor group, and 318.30 (82.73‍ ‍—‍ ‍478.82) pg/mL in the healthy group, with a significant difference between the four groups (H=240.86, P<0.001), and further comparison between two groups showed that the HCC group had a significantly higher level than the other three groups (all P<0.001). The ROC curve analysis of the HCC group and the other three groups showed that serum AKR1B10 had an optimal cut-off value of 1 584.97 pg/mL in the diagnosis of HCC, with an AUC of 0.86 (95% confidence interval [CI]: 0.82‍ ‍—‍ ‍0.90), a sensitivity of 74.3%, and a specificity of 85.2%. Compared with each indicator alone, a combination of AKR1B10 and AFP could improve the sensitivity (81.8%) and specificity (91.4%) of HCC diagnosis. AKR1B10 had an AUC of 0.84 (95%CI: 0.78‍ ‍—‍ ‍0.90) in the diagnosis of patients with early- or middle-stage HCC, with a sensitivity of 76.2% and a specificity of 81.2%. AKR1B10 had an AUC of 0.85 (95%CI: 0.77‍ ‍—‍ ‍0.92) in the diagnosis of patients with AFP-negative HCC, with a sensitivity of 81.6% and a specificity of 79.9%.  Conclusion  AKR1B10 is a promising serological marker for the diagnosis of HCC, and a combination of AKR1B10 and AFP can improve the detection rate of HCC patients in northern China, especially those with early- or middle-stage HCC and AFP-negative HCC.
Mechanism of action of Homebox A6 in regulating the proliferation, invasion, metastasis, and apoptosis of HepG2 hepatoma cells
Yuting LIU, Jingyin MAI, Tianlu HOU, Yang CHENG
2025, 41(4): 690-697. DOI: 10.12449/JCH250414
Abstract(680) HTML (249) PDF (8150KB)(53)
Abstract:
  Objective  To investigate the effect of Homebox A6 (HOXA6) on the proliferation, invasion, metastasis, and apoptosis of HepG2 hepatoma cells and its association with the PI3K/AKT signaling pathway.  Methods  HepG2 hepatoma cells were cultured, and HOXA6 overexpression plasmid and siRNA were constructed and transfected into cells. The cells were randomly divided into empty plasmid group, HOXA 6 overexpression group, siRNA negative control group, and siRNA HOXA6 interference group. CCK8 assay was used to measure cell proliferation, Transwell assay was used to observe cell invasion, and wound healing assay was used to observe cell migration (related proteins TIMP3, MMP9, and MMP3). Flow cytometry was used to measure cell apoptosis (related proteins BAX and BCL2), the BCA method was used to measure protein concentration, and Western Blot was used to measure the expression of related proteins. A one-way analysis of variance was used for comparison of continuous data between multiple groups, and the SNK-q test was used for further comparison between two groups.  Results  Compared with the empty plasmid group, HOXA6 overexpression significantly promoted the proliferation, invasion, and migration of HepG2 hepatoma cells (all P<0.001), and there was a significant reduction in the protein expression of TIMP3 (P<0.001), while there were significant increases in the expression levels of MMP9 and MMP3 (both P<0.001). Compared with the siRNA negative control group, HOXA6 interference significantly inhibited the proliferation, invasion, and migration of HepG2 hepatoma cells (all P<0.001), and there was a significant increase in the protein expression of TIMP3 (P<0.001), while there were significant reductions in the expression levels of MMP9 and MMP3 (both P<0.001). Flow cytometry showed that compared with the empty plasmid group, HOXA6 overexpression inhibited the apoptosis of HepG2 hepatoma cells (P<0.001), with a significant reduction in the expression of the apoptosis-related protein BAX and a significant increase in the expression of BCL2 (both P<0.001). Compared with siRNA negative control group, HOXA6 interference promoted the apoptosis of HepG2 hepatoma cells (P<0.001), with a significant increase in the expression of BAX and a significant reduction in the expression of BCL2 (both P<0.001). Compared with the empty plasmid group, the HOXA6 overexpression group had significantly higher ratios of p-AKT/AKT and p-PI3K/PI3K (both P<0.001), and compared with the siRNA negative control group, the siRNA HOXA6 interference group had significantly lower ratios of p-AKT/AKT and p-PI3K/PI3K (both P<0.001).  Conclusion  HOXA6 can promote the proliferation, invasion, and metastasis of HepG2 hepatoma cells and inhibit their apoptosis by activating the PI3K/AKT signaling pathway through phosphorylation.
Other Liver Disease
Value of third lumbar skeletal muscle mass index in predicting the prognosis of patients with acute-on-chronic liver failure
Yewen HAN, Jing LI, Ninghui ZHAO, Jia YAO, Juan WANG
2025, 41(4): 698-702. DOI: 10.12449/JCH250415
Abstract(611) HTML (218) PDF (1075KB)(47)
Abstract:
  Objective  To investigate the value of third lumbar skeletal muscle mass index (L3-SMI) in predicting the long-term prognosis of patients with acute-on-chronic liver failure (ACLF), and to provide a useful tool for prognostic scoring of ACLF patients.  Methods  A retrospective analysis was performed for the data of 126 patients who underwent abdominal computed tomography (CT) scanning and were diagnosed with ACLF in Shanxi Bethune Hospital from December 2017 to December 2021, including clinical indicators, biochemical parameters, and model for end-stage liver disease (MELD) score, and L3-SMI was calculated. The independent-samples t test was used for comparison of normally distributed continuous data between groups, and the Mann-Whitney U test was used for comparison of non-normally distributed continuous data between groups; the chi-square test was used for comparison of categorical data between groups. The receiver operating characteristic (ROC) curve was used to assess the diagnostic value of L3-SMI and other variables (MELD score and Child-Pugh score), and the DeLong test was used for comparison of the area under the ROC curve (AUC).  Results  Among the 126 patients enrolled, 44 (35%) died within 2 years and 82 (65%) survived. Compared with the survival group, the death group had significantly higher age, incidence rate of ascites, international normalized ratio, MELD score, and Child-Pugh score (all P<0.05) and a significantly lower value of L3-SMI [38.40 (35.95‍ ‍—‍ ‍46.29) cm²/m² vs 44.19 (40.20‍ ‍—‍ ‍48.58) cm²/m², Z=-2.855, P=0.004]. L3-SMI had an AUC of 0.720 in predicting 2-year mortality in ACLF patients, with a sensitivity of 63.6% and a specificity of 80.5%, and a combination of L3-SMI, MELD score, and Child-Pugh score had a significantly better AUC than a combination of MELD score and Child-Pugh score in predicting 2-year mortality (0.809 vs 0.757, Z=2.015, P<0.05).  Conclusion  L3-SMI has a high predictive value for the prognosis of ACLF patients, and the combination of L3-SMI、MELD score and Child-Pugh score has a higher predictive value for ACLF patients, and the inclusion of L3-SMI or sarcopenia in the conventional prognostic scores of ACLF patients may increase the ability to predict disease progression.
Biliary Disease
Expression and significance of human epidermal growth factor receptor 2, vascular endothelial growth factor-A, and programmed death-ligand 1 in gallbladder cancer
Yang YANG, Wenhua ZHANG, Wanxiang WANG
2025, 41(4): 703-712. DOI: 10.12449/JCH250416
Abstract(750) HTML (215) PDF (2214KB)(35)
Abstract:
  Objective  To investigate the expression and prognostic significance of human epidermal growth factor receptor 2 (HER-2), vascular endothelial growth factor-A (VEGF-A), and programmed death-ligand 1 (PD-L1) in gallbladder cancer, and to provide a theoretical basis for subsequent research.  Methods  A retrospective analysis was performed for the postoperative specimens and clinical data of 55 patients who underwent radical cholecystectomy for gallbladder cancer and had pathologically confirmed gallbladder adenocarcinoma in The Affiliated Hospital of Inner Mongolia Medical University from December 2017 to September 2019. Immunohistochemical staining was used to measure the expression levels of HER-2, VEGF-A, and PD-L1 in cancerous tissue and paracancerous tissue. The association between the expression of these three markers and clinical features were analyzed, as well as their impact on the prognosis of patients. The independent-samples t test was used for comparison of normally distributed continuous data between groups, and the Mann-Whitney U test was used for comparison of non-normally distributed continuous data between groups; the chi-square test was used for comparison of categorical data between groups. The Cox regression model was used to perform the univariate and multivariate analyses of clinical factors. The Kaplan-Meier curve was used to analyze the prognosis of patients, and the Log-rank test was used for comparison.  Results  Among the 55 patients, 15 patients (27.2%) had a high expression level of HER-2 in cancerous tissue, 23 (41.8%) had a high expression level of VEGF-A, and 18 (32.7%) had a high expression level of PD-L1, with significant differences compared with the paracancerous tissue (all P<0.05). There was a significant difference in tumor location between the groups with different expression levels of HER-2 (P<0.05); there were significant differences in maximum tumor diameter, degree of tumor differentiation, tumor location, N stage, peripheral organ invasion, and vascular invasion between the groups with different expression levels of VEGF-A (all P<0.05); there were significant differences in peripheral organ invasion, vascular invasion, and disease stage between the groups with different expression levels of PD-L1 (all P<0.05). The multivariate Cox analysis showed that preoperative CA19-9 level and HER-2 expression were independent risk factors for overall survival of patients (P<0.05), and preoperative CA19-9 level, maximum tumor diameter, N stage, VEGF-A, and PD-L1 were independent influencing factors for progression-free survival of patients (P<0.05). The Kaplan-Meier analysis showed that there were significant differences in overall survival and progression-free survival between the patients with high HER-2 expression and those with low HER-2 expression (P<0.05).  Conclusion  HER-2, VEGF-A, and PD-L1 have an important clinical significance for patients with gallbladder cancer and are potential sites for targeted therapy.
Pancreatic Disease
Establishment of a nomogram prediction model for poor prognosis of acute pancreatitis based on inflammatory factors, lung ultrasound, and CT scores
Xia REN, Ye YE, Luojie LIU, Xiaodan XU, Yan ZHANG
2025, 41(4): 713-721. DOI: 10.12449/JCH250417
Abstract(917) HTML (375) PDF (2126KB)(48)
Abstract:
  Objective  To investigate the independent risk factors for poor prognosis in patients with acute pancreatitis (AP) by analyzing inflammatory factors, lung ultrasound (LUS) scores, and CT scores, to establish a nomogram prediction model, and to provide a basis for early clinical intervention.  Methods  A total of 409 patients with AP who were admitted to Changshu Hospital Affiliated to Soochow University from January 2021 to October 2023 were enrolled as subjects, and they were divided into modeling group with 288 patients and validation group with 121 patients using the simple random sampling method at a ratio of 7∶3. According to the prognosis, each group was further divided into poor prognosis group and good prognosis group. The levels of C-reactive protein (CRP), procalcitonin (PCT), interleukin-6 (IL-6), interleukin-10 (IL-10), and tumor necrosis factor-α (TNF-α) were measured for both groups within 72 hours after admission, and LUS scores, modified CT severity index (MCTSI), and extrapancreatic inflammation on computed tomography (EPIC) scores were assessed within 48‍ ‍—‍ ‍72 hours after admission. The independent-samples t test was used for comparison of normally distributed continuous data between groups, and the Mann-Whitney U rank sum test was used for comparison of non-normally distributed continuous data between groups; the chi-square test was used for comparison of categorical data between groups. A LASSO regression analysis was used to screen for the variables that were included in the multivariate logistic regression model to identify the independent risk factors for the poor prognosis of AP, and then a nomogram prediction model was established. The receiver operating characteristic (ROC) curve and the calibration curve were used to assess the discriminatory ability and goodness of fit of the nomogram model, and a decision curve analysis was used to assess the clinical applicability of the model.  Results  Among the 288 patients with AP in the modeling group, there were 33 (11.46%) in the poor prognosis group and 255 (88.54%) in the good prognosis group; among the 121 patients with AP in the validation group, there were 13 (10.74%) in the poor prognosis group and 108 (89.26%) in the good prognosis group. Compared with the good prognosis group, the poor prognosis group had significantly higher levels of CRP (Z=3.607, P<0.05), IL-6 (Z=4.189, P<0.05), and TNF-α (t=2.584, P<0.05), and significantly higher scores of LUS (t=8.075, P<0.05), MCTSI (t=5.929, P<0.05), and EPIC (t=8.626, P<0.05). The multivariate logistic regression analysis showed that CRP (odds ratio [OR]=3.592, 95% confidence interval [CI]: 1.272‍ ‍—‍ ‍10.138, P<0.05), IL-6 (OR=4.225, 95%CI: 1.468‍ ‍—‍ ‍12.156, P<0.05), TNF-α (OR=3.540, 95%CI: 1.205‍ ‍—‍ ‍10.401, P<0.05), LUS (OR=7.094, 95%CI: 2.398‍ ‍—‍ ‍20.986, P<0.05), MCTSI (OR=7.612, 95%CI: 2.832‍ ‍—‍ ‍20.462, P<0.05), and EPIC (OR=11.915, 95%CI: 4.007‍ ‍—‍ ‍35.432, P<0.05) were independent risk factor for poor prognosis in patients with AP. A nomogram prediction model was established based on the above 6 indicators, which had an area under the ROC curve of 0.924 (95%CI: 0.883‍ ‍—‍ ‍0.964), and the Youden index for the optimal cut-off value was 0.670, with a sensitivity of 0.909 and a specificity of 0.761. The calibration curve showed good consistency between the predicted and observed results in both the modeling group and the validation group. The decision curve analysis showed that the predictive model had certain clinical effectiveness.  Conclusion  The nomogram model for predicting the risk of poor prognosis in AP patients based on CRP, IL-6, TNF-α, LUS score, MCTSI score, and EPIC score has relatively good predictive performance and can provide important strategic guidance for developing early intensified treatment regimens for AP patients in clinical practice.
Role and mechanism of caffeic acid in a mouse model of severe acute pancreatitis
Siyu XU, Tao LIU, Lulu LAN, Yining XUE, Wei WEI, Yi HAN, Sucheng MU, Haiyan SONG, Shilin DU
2025, 41(4): 722-730. DOI: 10.12449/JCH250418
Abstract(1104) HTML (486) PDF (5001KB)(61)
Abstract:
  Objective  To investigate the effect and potential mechanism of caffeic acid (CA) on severe acute pancreatitis (SAP) induced by caerulein combined with lipopolysaccharide (LPS), and to provide a basis for the research on novel drugs for the treatment of SAP.  Methods  C57BL/6J mice, aged 6 weeks, were divided into control group, model group, CA group, and octreotide acetate (OA) group, with 6 mice in each group. The mice in the control group were given injection of normal saline, and those in the other groups were given intraperitoneal injection of caerulein combined with LPS to establish a mouse model of SAP. At 1 hour after the first injection of caerulein, the mice in the CA group and the OA group were given intraperitoneal injection of CA or subcutaneous injection of OA at an interval of 8 hours. The general status of the mice was observed after 24 hours of modeling, and serum, pancreas, lung, and colon samples were collected. HE staining was used to observe the histopathological changes of the pancreas and lungs, and the serum levels of α-amylase, lipase, tumor necrosis factor-α (TNF-α), interleukin-6 (IL-6), alanine aminotransferase, aspartate aminotransferase, and creatinine were measured. RT-PCR was used to measure the expression of proinflammatory factors in the pancreas and lungs; myeloperoxidase (MPO) immunohistochemistry was used to observe the degree of neutrophil infiltration; Western blot was used to measure the activation of nuclear factor-kappa B (NF-κB) and the level of citrullinated histone H3 (CitH3), a marker for the formation of neutrophil extracellular traps (NETs), in the pancreas and lungs, as well as the expression level of ZO-1 in colon tissue. A one-way analysis of variance was used for comparison of continuous data between multiple groups, and the Dunnett’s t-test was used for further comparison between two groups.  Results  Compared with the control group, the model group had severe injury in the pancreas and lungs and significant increases in the activity of serum α- amylase and lipase and the levels of the proinflammatory cytokines IL-6, interleukin-1β (IL-1β), and TNF-α in serum and lung tissue (all P<0.05), as well as significant increases in NF-κB activation, neutrophil infiltration, and the formation of NETs in the pancreas and lungs (all P<0.05). Compared with the model group, the CA group had alleviated pathological injury of the pancreas and lungs and significant reductions in the activity of serum α-amylase and the levels of the proinflammatory cytokines IL-6, IL-1β, and TNF-α in serum and lung tissue (all P<0.05), as well as significant reductions in NF-κB activation, neutrophil infiltration, and the formation of NETs in the pancreas and lungs (all P<0.05).  Conclusion  CA can alleviate SAP induced by caerulein combined with LPS in mice, possibly by inhibiting neutrophil recruitment and the formation of NETs.
Case Report
Growth retardation and hepatopathy associated with single heterozygous mutations in the IARS1 gene: A case report
Yang LI, Di MAO, Liya WEI, Chunxiu GONG
2025, 41(4): 731-735. DOI: 10.12449/JCH250419
Abstract(718) HTML (190) PDF (1958KB)(49)
Abstract:
Mutations in the IARS1 gene are rare in clinical practice, and up to now, only ten cases with detailed clinical and genetic data have been recorded in the literature. This article reports a case of growth retardation, intellectual developmental disorder, hypotonia, and hepatopathy (GRIDHH) associated with single heterozygous mutations in the IARS1 gene and summarizes the clinical and genetic features of GRIDHH, thereby expanding the genetic spectrum of GRIDHH.
Review
Challenges and strategies for clinical treatment of low-level viremia in chronic hepatitis B patients
Huilin GAN, Cuicui SHI, Guangming LI
2025, 41(4): 736-741. DOI: 10.12449/JCH250420
Abstract(1653) HTML (525) PDF (682KB)(234)
Abstract:
Hepatitis B virus (HBV) infection is a global public health issue, affecting the health of 250 million people worldwide. Despite the significant progress in antiviral therapy for HBV, some patients still experience low-level viremia (LLV) after receiving antiviral therapy and fail to achieve viral clearance, with an HBV DNA load remaining at a relatively low level of 20 — 2 000 IU/mL. LLV is often caused by multiple factors such as the high stability of the virus, the difficulty in clearing the virus with antiviral drugs, host immune factors, and drug resistance, which increase the difficulties in antiviral therapy. In addition, LLV can also cause liver damage, which may eventually progress to severe outcomes such as hepatocellular carcinoma. This article reviews LLV in hepatitis B in terms of diagnosis, influencing factors, clinical significance, and treatment strategies.
Mechanism of action of sex hormones in regulating T cell-mediated autoimmune hepatitis: A study based on the phenomenon of female bias
Haiqiang WANG, Dasha SUN, Han WANG, Jiahua TIAN, Xinyue CUI, Ming LI
2025, 41(4): 742-747. DOI: 10.12449/JCH250421
Abstract(785) HTML (198) PDF (1026KB)(44)
Abstract:
Autoimmune hepatitis (AIH) is an autoimmune disease characterized by liver parenchymal destruction and chronic fibrosis, and it is often mediated by T cells. The pathogenesis of AIH involves multiple factors, including sex, region, environmental factors, and genetic susceptibility. A notable predisposition is observed in female individuals, and the incidence rate of AIH in female individuals is significantly higher than that in male individuals. This sex difference is associated with various factors, and sex hormones may be an important cause of the female predominance of AIH, although the specific mechanisms remain unclear. An in-depth understanding of the mechanism of action of sex hormones in the pathogenesis of AIH will help to better understand the pathogenesis of the disease and may provide important clues for developing future treatment methods and prevention strategies. This article reviews the mechanism of action of estrogen and androgen in regulating the pathogenesis of AIH by regulating T cells, in order to provide new ideas and directions for further exploring the potential role of sex hormones in the etiology of autoimmune diseases.
The mechanism and clinical application value of interleukin-10 family in anti-hepatic fibrosis
Qi LUO, Biyu ZENG, Rong ZHANG, Liangjiang HUANG, Lei FU, Chun YAO
2025, 41(4): 748-754. DOI: 10.12449/JCH250422
Abstract(732) HTML (234) PDF (733KB)(45)
Abstract:
The interleukin-10 (IL-10) family is expressed in various types of cells and has a wide range of biological functions, and it plays an important role in the development and progression of hepatic fibrosis. Hepatic fibrosis is a chronic liver disease characterized by abnormal repair of hepatic tissues after injury, activation of hepatic stellate cells, and excessive accumulation of extracellular matrix. The IL-10 family members include IL-10, IL-19, IL-20, IL-22, IL-24, IL-26, IL-28, IL-29, and IL-35, with similarities in structure and function, and changes in their expression levels are closely associated with the progression of hepatic fibrosis. Moderate upregulation of the expression of IL-10 family members can help maintain the quiescent state of hepatic stellate cells, promote the transformation of macrophages to anti-inflammatory phenotype, and regulate the activity of natural killer cells, thereby inhibiting inflammatory response, regulating cell apoptosis and autophagy, and finally reversing the progression of hepatic fibrosis. This article discusses the mechanism of action of IL-10 family members and their application in traditional Chinese medicine and Western medicine therapies, in order to provide new thoughts for the treatment of hepatic fibrosis.
The characteristics and mechanism of dynamic changes of different components in microenvironment in regulating the progression of liver fibrosis
Huilan ZHAO, Zongxu LIU, Shumin LI, Zhifeng WANG, Minghui LIU, Qian SHENG, Kunbin KE, Xinan SHI
2025, 41(4): 755-760. DOI: 10.12449/JCH250423
Abstract(609) HTML (600) PDF (1177KB)(61)
Abstract:
The liver has diverse functions such as metabolism, detoxification, and immune defense, and the maintenance of hepatic microenvironment homeostasis is crucial for overall bodily health. The hepatic microenvironment consists of the components such as parenchymal cells, non-parenchymal cells, and non-cellular components. Chronic inflammatory responses induced by various etiological factors may promote the formation and progression of liver fibrosis. During the dynamic progression of liver fibrosis, from the early to advanced stages, various components within the hepatic microenvironment undergo a series of changes, which can promote the malignant progression of liver fibrosis. An in-depth exploration of the mechanisms underlying such changes in each component of the liver fibrosis microenvironment is of great significance for understanding the pathogenesis of liver fibrosis and discovering potential treatment strategies.
Evaluation and management of nutritional consequences in patients with alcoholic cirrhosis
Lijie WANG, Yanrong YANG, Yu CHEN, Jinling DONG
2025, 41(4): 761-767. DOI: 10.12449/JCH250424
Abstract(875) HTML (464) PDF (787KB)(88)
Abstract:
Patients with alcoholic cirrhosis often experience varying degrees of malnutrition, and the patients with malnutrition are more susceptible to complications such as infections and ascites, which may lead to a poor prognosis. Therefore, it is particularly important to conduct nutritional risk screening for patients in clinical practice, and appropriate nutritional assessment tools should be used to evaluate the nutritional status of patients and develop individualized nutritional supplementation regimens, thereby promoting disease recovery and improving prognosis and quality of life. This article elaborates on the specific methods for nutritional screening, assessment, and management in patients with alcoholic cirrhosis and points out that systematic nutritional screening and assessment can help to identify the patients with malnutrition in the early stage and provide timely intervention. Individualized nutritional supplementation regimens should be adjusted based on the conditions of patients, so as to meet their nutritional needs, promote the recovery of liver function, improve overall health status, and enhance long-term quality of life.
Association between sarcopenia and abnormal lipid metabolism in patients with liver cirrhosis and the potential benefits of transjugular intrahepatic portosystemic shunt
Qinnian LI, Bilian ZHU, Yingmei TANG, Chenrui ZHANG
2025, 41(4): 768-772. DOI: 10.12449/JCH250425
Abstract(797) HTML (161) PDF (599KB)(52)
Abstract:
With the progression of liver cirrhosis, patients often develop sarcopenia and lipid metabolism disorders, and the complex interaction between p sarcopenia and lipid metabolism disorders not only promotes the progression of liver cirrhosis, but also affects the prognosis and quality of life of patients. As an effective intervention for alleviating complications associated with liver cirrhosis, transjugular intrahepatic portosystemic shunt (TIPS) can improve sarcopenia to a certain degree by improving hepatic hemodynamics and reducing portal venous pressure. In addition, there might be varying degrees of changes in blood lipid levels after TIPS, which may be closely associated with the recovery of liver metabolic function and the alterations in hemodynamics. This article introduces the association between liver cirrhosis, sarcopenia, and lipid metabolism disorders, elaborates on the effect of TIPS on sarcopenia and abnormal lipid metabolism, and discusses related mechanism and clinical significance, in order to provide a theoretical basis for clinical treatment.
The role of gut microbiota in acute kidney injury in patients with decompensated liver cirrhosis and related targeted therapies
Qingbiao LIN, Guiqiang WANG
2025, 41(4): 773-777. DOI: 10.12449/JCH250426
Abstract(637) HTML (224) PDF (859KB)(51)
Abstract:
Acute kidney injury (AKI) is a severe complication in patients with decompensated liver cirrhosis and tends to have a high mortality rate and a poor prognosis. Current studies have shown that gut microbiota might be associated with the development and progression of AKI, and it is necessary to pay attention to the application of targeted therapy based on gut microbiota in the prevention and treatment of such patients. Therefore, this article reviews the possible pathogenesis of gut microbiota in liver cirrhosis comorbid with AKI, as well as potential prevention and treatment measures targeting gut microbiota, in order to provide a reference for the pathogenesis of such patients and related treatment methods.
Mechanism of action of tumor necrosis factor superfamily member 14 in chronic liver diseases
Yapeng MA, Yanan MA
2025, 41(4): 778-783. DOI: 10.12449/JCH250427
Abstract(651) HTML (274) PDF (870KB)(60)
Abstract:
Tumor necrosis factor superfamily member 14 (TNFSF14) is a new member of the tumor necrosis factor superfamily member, and it mediates diverse biological functions through binding with herpes virus entry mediator, lymphotoxin-β receptor, and soluble decoy receptor 3, thereby exerting an important regulatory effect in inflammatory diseases, fibrotic diseases, and anti-tumor immunity. In recent years, the mechanism of LIGHT in the development and progression of liver diseases and its role in treatment have attracted more and more attention.
Advances in genotyping and treatment of progressive familial intrahepatic cholestasis
Yijing LIU, Fang ZHOU
2025, 41(4): 784-792. DOI: 10.12449/JCH250428
Abstract(1132) HTML (394) PDF (766KB)(103)
Abstract:
Progressive family intrahepatic cholestasis (PFIC) is a rare group of autosomal recessive disorders. In recent years, with the development of molecular biology, new pathogenic genes have been constantly identified, and PFIC is currently categorized into 12 genotypes based on the OMIM database. The main manifestations of PFIC include jaundice, pruritus, growth retardation, and malabsorption of fat-soluble vitamins, and some variants can rapidly progress to liver fibrosis, liver cirrhosis, liver failure, and even liver cancer. Different types of PFIC have different clinical manifestations and treatment strategies, and genetic testing can help to achieve early identification and diagnosis. This article reviews the latest advances in the genotyping, clinical features, and treatment of PFIC.
The mechanism of effective traditional Chinese medicine components and prescriptions in treatment of chronic pancreatitis by intervening against pancreatic stellate cells
Ruyang CHENG, Weining SONG, Xin JIANG, Yehao WANG, Lin LIU, Fang LU, Shumin LIU
2025, 41(4): 793-800. DOI: 10.12449/JCH250429
Abstract(997) HTML (396) PDF (1146KB)(59)
Abstract:
Chronic pancreatitis (CP) is a chronic disease characterized by recurrent inflammation and progressive damage to pancreatic tissue, and its deterioration may increase the risk of pancreatic cancer in patients with CP, which seriously threatens the health of patients with CP. In recent years, studies on the pathogenesis of CP have mostly focused on the activation of pancreatic stellate cells (PSCs) and its role in pancreatic fibrosis. This article elaborates on the mechanism of action of PSCs in CP, summarizes the current status of research on effective traditional Chinese medicine components and prescriptions for intervention of PSCs in the treatment of chronic CP, and proposes the future research directions for effective traditional Chinese medicine components and prescriptions, so as to provide a reference for the clinical treatment of CP patients in the future.
Introduction of High - quality Articles in Foreign Journals
Hepatology|Repression of the ERRγ-CYP2E1 pathway by FGF4 mitigates alcohol-associated liver injury
2025, 41(4): 610-610. DOI: 10.12449/JCH2504.gwqkjpwzjj1
Abstract(531) HTML (115) PDF (867KB)(49)
Abstract:
Hepatology|Pre-B-Cell leukemia transcription factor 1 contributes to liver fibrosis by enabling IL-7 signaling in hepatic stellate cells
2025, 41(4): 735-735. DOI: 10.12449/JCH2504.gwqkjpwzjj2
Abstract(396) HTML (177) PDF (886KB)(41)
Abstract:
Journal of Hepatology|Sour neuronal signalling attenuates macrophage mediated liver injury
2025, 41(4): 754-754. DOI: 10.12449/JCH2504.gwqkjpwzjj3
Abstract(418) HTML (175) PDF (860KB)(32)
Abstract:
Hepatology International||Risk stratification for patients with primary biliary cholangitis: early versus advanced-stage or non-cirrhosis versus cirrhosis?
2025, 41(4): 767-767. DOI: 10.12449/JCH2504.gwqkjpwzjj4
Abstract(354) HTML (141) PDF (1215KB)(43)
Abstract:
Gut|Stressed hepatocyte sustains alcohol-associated hepatitis progression by producing leukocyte cell-derived chemotaxin 2
2025, 41(4): 800-800. DOI: 10.12449/JCH2504.gwqkjpwzjj5
Abstract(314) HTML (176) PDF (866KB)(60)
Abstract:
Acknowledgements
Current reviewers
2025, 41(4): 624-624. DOI: 10.12449/JCH2504.zhixie
Abstract(236) HTML (100) PDF (822KB)(32)
Abstract: